转鼓造粒法是将原料颗粒物用水或造粒促进剂液体在圆盘或滚筒等造粒容器中,将原料颗粒物造粒成所需粒度的方法,属于湿法造粒。其生产过程是将原料粉粒连续送入造粒容器中,如慢速旋转的圆盘或转鼓,在该容器中喷洒水溶液或造粒促进剂,颗粒沿造粒容器的旋转方向滚动,与另一颗粒碰撞,结合并变大,最后长成所需大小的颗粒。
滚动造粒法的特点是,颗粒在滚动过程中生长,因此得到的颗粒具有球形或近似球形的形状,表面光滑,湿法时颗粒的强度不高,但通过干燥形成的固体架桥结晶状态,使其获得高硬度的颗粒成为可能。另外,该产品的颗粒大小容易控制,生产效率高。此方法是化肥生产的主要方法。
一转鼓造粒法的原理
液体交联力的作用在转鼓造粒中起着非常重要的作用。在造粒过程中,当加入的液体量很少的时候,颗粒表面没有完全湿润,空气在颗粒之间处于连续相,液体呈现出分散相,小部分颗粒之间形成液体交联,但颗粒之间没有相互连接。在这种状态下,原料颗粒之间气液交联的气液界面张力结合力很弱,颗粒反复结合、解体,难以形成大颗粒。当液体量适宜时,颗粒表面完全湿润,原料颗粒之间的空气有很大一部分被液体所取代,空气成为分散相,液体成为连续相,在空气周围形成液体交联,并将它们连成网络,在空气的周围形成液体交联。这时,液体交联的界面张力和毛细管负压将初级颗粒强烈地结合在一起。当液体量过大时,颗粒间的空隙完全被液体填满,空气全部被赶走,颗粒间的液体交联消失,气液界面张力消失,只剩下液体的表面张力,颗粒间的粘结力崩解,整体变成了浆液。因此,液体添加量是转鼓造粒中非常重要的因素,即液体添加量过多或过少,都会阻碍造粒进程。
1.颗粒成长过程
在转鼓造粒中,原料颗粒物从初级颗粒到产品颗粒的生长过程分为以下三个阶段。首先,几个或十个原料粒子结合在一起,形成晶核;其次,晶核与其他粒子或晶核碰撞,在粘附在晶核表层的同时,不断成长壮大;最后,较大的球形粒子进一步滚动,受到粒子本身的摩擦力和重力的作用,使其内部致密,表面光滑,形成成品。过程如图1所示。
图1.转鼓造粒中颗粒的成长过程

1.1晶核形成
通过在原料颗粒中加入水或其它液体,使其表面被润湿,形成液体交联。固液交联下界面张力使颗粒相互接近并形成小球状核。在这个阶段,原料粒子的表面已经被一层薄薄的液体层覆盖,但毛细管水只存在于每个粒子的接触部位。颗粒之间的间隙几乎被空气填满。在这种状态下,粒子之间的距离并没有减少多少,它们是松散结合的。
晶核的形成主要是由于机械外力作用在主颗粒上,增加了颗粒间的接触点,增加了液体交联的数量,从而形成晶核。另外,颗粒的接触部位被强化,形成细小的毛细管,使颗粒表面存在的液体变为毛细管水,增加了毛细管的负压。因此,造粒容器的旋转使原生颗粒受到重力、离心力和摩擦力的影响,不断地旋转、摩擦,形成无数的晶核。在这个阶段,水或液体对主颗粒表面的润湿是决定性的。
1.2粒子成长
球状颗粒成长必须的要素是颗粒表面存在适当的水分,颗粒表面处于湿润状态,其水分含量近似于分子结合水的极值含量,以及相对干燥的粉状颗粒。
前期形成的晶核不断地被输送到造粒设备中,逐渐变得密实、致密。在此过程中,存在于粒核内部空隙中的毛细水被蒸散到颗粒表面,在粒核表面形成液态层,呈现液态。表面湿润的颗粒会发生位移,与其他相对干燥的颗粒(原料颗粒和其他颗粒核)接触,使其粘附在表面。通过重复这样的过程,晶核周围粘附的原料粒子就会像年轮一样层层叠叠,整个粒子就会变得很大。
颗粒的生长速度是由颗粒表面的湿润状态、与粘性原料颗粒的摩擦力等决定的,以及滚动运动的压缩力等。
颗粒表面缺乏湿润度,使原料颗粒和小颗粒核之间不能相互粘连,生长停止。在这种情况下,需要在颗粒表面加入雾化液来增加湿润度。如果附着在粒子上的初级粒子的摩擦力小,粘性粒子就会再次移开。如果摩擦力过大,由于界面张力和重力的作用下,摩擦力过大,压缩阻力大,内部压缩不成功,导致颗粒的体积比重轻,强度低。原料颗粒的种类、大小和表面形态影响摩擦力。在这种情况下,可以通过添加造粒促进剂来缓解效果。
滚动运动的压缩力是指粒子旋转时重力、离心力和摩擦力的合力。因此,颗粒逐渐被压缩,内部空间缩小,整体结构变得致密。通过调整造粒设备的尺寸、转速、倾角等,可以增加颗粒的滚动范围,从而增强旋转运动的抗压力。在这个阶段,颗粒表面的润湿条件和造粒设备的机械作用力都很重要。
1.3颗粒成型
当颗粒生长导所需粒径后,需进一步提高强度,并将表面磨平,制成产品。
在这个阶段,较大的颗粒在旋转和摩擦机械作用下,相互之间距离变近,通过来回、左右移动,颗粒间接触面积达到最大,进一步增加密度。这种微调的结果是,覆盖在单个颗粒表面的薄液层相互接触,形成覆盖大量颗粒的联合液层,在分子间力、粘附力和毛细管力的负压以及液层表面张力的共同作用下,包被颗粒成为一个个颗粒。
在这个阶段,不需要添加水或液体,在转鼓造粒过程中挤出多余水分,而此部分多余水分则被吸收到尚未充分湿润的层中,使整体水分均匀。如果没有水分转移吸收现象,从颗粒表面蒸散出的水分原封不动,不仅会使颗粒产生粘液现象,而且颗粒的强度也会降低。因此,多余的水分需要被湿度较低的小颗粒吸收。在这个阶段,机械作用力是决定性的因素。
2.影响造粒的主要因素
影响转鼓造粒生产效率的因素主要有以下五个方面,影响转鼓造粒的生产效率、造粒强度、粒径分布的主要因素如下:
2-1原料颗粒的粒度及分布情况
原材料颗粒的粒径越小,比表面积(单位质量的表面积或单位体积的表面积)越大,颗粒之间的空间分数越小,颗粒之间作为液-液交联的固-液界面张力越大。因此,原料粒度越小,颗粒强度越高。
为了获得高强度的颗粒:
(1)主颗粒的粒径越小,比表面积越大越好。固液间的界面张力增加,结合颗粒的作用力变强。
(2)原料颗粒形状越不规则,粒度分布越宽,越不规则越好。这是有利的,因为小颗粒进入初级颗粒之间的空隙,当次级颗粒形成时,小颗粒会被束缚在一起,导致颗粒的空腔较少,同时也因为小颗粒被滚动而进一步压缩和致密。
2-2添加造粒促进剂
根据原料、颗粒的种类及表面特性,只使用水,可能会导致造粒效率低下或造粒强度低下。添加造粒促进剂可能是一种行之有效的处理方法。
造粒促进剂的作用大致可分为以下三类。
(1)在主颗粒表面形成一层粘性薄膜,以增强与周围颗粒的接触和附着力。另外,造粒促进剂形成的液体交联,具有较强的界面张力,促进颗粒之间的结合。在这种情况下,造粒促进剂应溶于水,然后以液体形式加入。
(2)通过填充晶核之间的空隙,提高了粒子密度。在这种情况下造粒促进剂常以粉末状的形式加入或混合。
(3)烘干后,在造粒促进剂与原料颗粒之间形成固体架桥,提高造粒颗粒的强度。在这种情况下,根据造粒促进剂的种类和特性,可分为粉末状添加的和溶解于水后添加的两种。
造粒促进剂的添加量取决于使用目的。当用于上述目的1)和3)时,将确定主颗粒的比表面积和造粒促进剂的种类和稀释浓度。当用于上述2)中的目的时,应加入相当于25-35%的颗粒空腔比的量。但是,考虑到造粒后的颗粒肥料成分保证值和原料成本,应该将添加量控制在最小限度。
2-3原材料粉体和颗粒的团聚状态
二级颗粒,由不规则的初级颗粒组成,表面凹凸不平,内部有许多空腔,其空间内充满了液体,形成了大量的自由水结构。如果旋转量不足,最终会造成颗粒含水率高、体积密度低、强度低的颗粒。
如果不改变原料颗粒的性质,则需造粒前对原料颗粒的形状进行改善,以提高粉体的聚集状态和造粒质量。常用的方法是在混合原料颗粒时事先加入一定量的水,将其加湿,然后在搅拌器中搅拌混合,使其产生适当的剪切力和摩擦力,再将不均匀的颗粒溶解或刮除,使其表面呈球形,增加颗粒之间的接触面积。另外,在颗粒表面事先形成一层薄薄的液体层,部分颗粒成分溶脱,形成强烈的液体交联。特别是使用圆盘造粒装置时,用这种方法预处理过的粉体和颗粒造粒效果明显,如颗粒核的形成速度较快,颗粒的生长速度和强度较高。
2-4.加水量
水分是颗粒之间形成液体交联的最重要因素。如果速度和水量合适,造粒效率就会提高,造粒后的颗粒强度和表面状态等因素也会得到改善。但应在初步实验中确认,因为最佳的添加量取决于原料和制粒设备的类型。
2-5造粒设备的类型和旋转速度
造粒设备的类型,特别是造粒容器的形状和大小,在很大程度上影响着造粒效率和造粒颗粒的质量。一般来说,造粒容器的直径越大,造粒效率越高,所得到的颗粒强度越高,表面越光滑。造粒设备的旋转速度也很重要。如果旋转速度慢,颗粒就会在造粒容器底部沉积,而颗粒的上升点就会很低,进而滚落到底部的滚动距离会很短,滚动不足。如果转速过高,颗粒的滚动速度跟不上,在离心力的作用下,可能会发生解体。
二、圆盘造粒
肥料行业常用的滚动造粒设备根据造粒容器的类型不同,有两种:盘式造粒机和转鼓式造粒机。振动造粒机(卧式振动盘式造粒机、振动搅拌式造粒机等)也属于滚动式造粒机的范畴,但由于很少用于化肥的造粒,所以在最后简单介绍一下。圆盘造粒机是将原料颗粒物放入倾斜旋转的盘中,根据情况给它加水或加造粒促进剂(液体),并进行滚动造粒的机器。其特点如下:
(1)结构简单,操作方便,便于维护。特别是,由于可以直接看盘内造粒情况,所以更换和调整操作方便快捷。
(2)具有分类效应。由于离心力的作用,盘内物料滚动轨迹随着粒径的增大而越滚越小,当达到要求的粒径时,自动从锅的边缘弹出。产品的粒度比较均匀。
(3)产品颗粒强度高,质量好。由于颗粒在滚动摔打过程中逐渐增大,其密度高,表面光滑,不易粉碎。
(4)主体价格低,所需安装面积小。在同等产量的情况下,圆盘制粒机本身的价格是滚筒式造粒机的三分之二,安装面积是转鼓式造粒机的一半左右。
缺点是由于圆盘是开放式的,所以不适合对粉尘多的原料和那些在造粒过程中会发生化学反应,释放出有害气体的原料进行造粒。
1、圆盘制粒机的结构
图2.圆盘造粒机的结构概略图

图3.圆盘造粒机实物照片

圆盘的形状多为单纯的圆盘状,但根据原料及造粒要求,也有其他形状。图4表示的是工业上经常使用的圆盘造粒机的圆盘形状。
图4.圆盘造粒机的各种圆盘形状

2、圆盘造粒的颗粒形成过程
圆盘造粒机中的颗粒形成过程可分为以下三个阶段。
2-1.晶核的形成
原料颗粒被送入盘中,与喷雾器喷出的液体接触,使颗粒表面湿润,颗粒之间形成不连续的液体交联,从而使颗粒结块。形成的粗颗粒骨料通过圆盘的旋转滚动,逐渐被压缩,形成近乎球形、粘度及强度稳定的粒芯。由于液体被喷到盘内固定区域内,粒芯也只在该区域内形成。在这个阶段形成的晶核数量与未来造粒结束时颗粒数量基本相同。晶核的强弱还与粒子生长的稳定性有关。由高强度核子生长出来的粒子,也能长成高强度的大颗粒。
2-2.颗粒生长
形成的晶核表面有一层液体膜,当晶核与其他小颗粒接触时,晶核与其他小颗粒的粘附性也很强。另外,由于粒子之间存在空隙,具有一定的可塑性。由于颗粒的滚动,吸附在表面的小颗粒被重新排列,颗粒之间的液体开始浸入,表面张力使整体变成一个个颗粒。此外,在滚动过程中,由于摩擦力和引力的作用,以及与其他粒子的碰撞力的作用下,粒子逐渐被压缩,变得更加致密,呈现球形。这个过程反复进行,颗得以粒逐渐变大。
2-3.颗粒成型和完成
当颗粒生长到预定的粒径时,颗粒间的液体量达到理论饱和值的85-90%,多余的液体从颗粒表面渗透到颗粒内部,增加了颗粒表面的毛细管力,使颗粒内部的结合力更强。在这个阶段,停止供水或造粒促进剂,颗粒表面液膜变薄,而颗粒失去了附着较小颗粒的能力,进而停止生长。但是,随着颗粒的不断滚动,颗粒进一步被压缩和致密,在摩擦力的作用下,其外在形状变成了光滑球状。最后将它们从圆盘边沿上排出,然后运送到下一道干燥工序。
3.影响造粒质量的因素
对于圆盘制粒,影响制粒后的粒度、硬度、产量和生产效率的因素如下:
3-1.圆盘直径
圆盘直径影响着造粒后的生产率和颗粒硬度。特别是,它是控制生产的最重要因素。圆盘的直径越大,单位时间内产量越高。此外,直径越大,颗粒的滚动距离越长,下落时重力越大,颗粒的压缩力越大,密度越大。但由于设备制造、安装、运行、生产的经济性,圆盘的直径往往控制在6米以下。
3-2.圆盘的边沿的高度
挡边越高,颗粒驻留时间越长,生长出来的颗粒粒度越大。但是,如果提高挡边高度,也会造成单位时间内生产率下降,形成的大颗粒重量可能会超过自身的结合力,在造粒过程中再次解体,导致生产效率低下。
通常情况下,圆盘挡边高度与圆盘的直径成正比。常用的公式是H=0.20D,其中H是圆盘的高度,D是圆盘的直径。对于特殊的应用,如高强度颗粒的造粒,如低粒径的造粒,可采用2重型或截头锥型盘。如果你想做大颗粒的造粒,要用多级盘或锥形盘。
3-3、圆盘倾斜角度
圆盘倾角影响着颗粒滚动。当倾角不足时,粉料在圆盘旋转时,粉料不滚动,仍粘在圆盘表面,晶核不能形成和生长。因此,圆盘倾角应大于造粒前湿润的原料倾角。但是,圆盘倾角越大,粒子的倾角越大,粒子下降的速度就越快,如果超过了粒子的束缚力,粒子就会崩解。同时,如果倾角超过了极限,颗粒不能沿盘的旋转方向上升,停留在底部沉积,不能生长。通常情况下,圆盘倾角为35~55度,最经常使用的角度范围是40~50°。如果条件允许,最好在初步试验中确定最佳倾角。
3-4.圆盘旋转速度
原料和成型颗粒在圆盘的旋转作用下被拉起,上升到一定程度后,在重力的作用下滚落下来,同时在离心力的作用下,被抛向圆盘的外缘。这种滚动运动使颗粒相互碰撞、相互接触,表面液层的粘性和表面张力使颗粒产生粘性和压缩,颗粒逐渐长大。因此,盘的旋转速度在很大程度上影响了颗粒的形成和生长。如果旋转速度过慢,颗粒上抛高度短,滚动距离不够,颗粒的形成和生长速度慢。反之,如果转速过快,颗粒在离心力的作用下被甩出盘外,还没来得及形成球粒,就被甩出锅外。通常情况下,圆盘的最佳转速取决于粉末或颗粒的种类。该公式在下面章节中详细阐述。
3-5.液体量
喷洒在盘上的液体形成了造粒所需的液体交联,这对晶核聚集和颗粒的生长是必不可少的。因此,喷洒液体过多和过少都会影响颗粒的形成和生长。另外,喷入的液体分布越均匀,球状颗粒的形成和生长就越均匀。因此,喷雾液的喷射宽度要与原料颗粒的输入宽度相同,压力要恒定,并能均匀地接触到原粉和颗粒。需要注意的是,喷出的液体务必不能直接喷射到圆盘底面。如果液体落在圆盘底面上,那里的粉粒会变得过于湿润,粘在锅的表面,干扰了造粒进程。
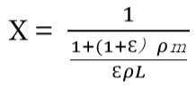
造粒所需的液体量可以通过以下公式进行估算:

x:液体量(质量),Ɛ:凝固后的原料颗粒的空间分量,ρm:原料颗粒的真密度,ρL:液体密度
虽然不是化肥的数据,但表1显示了几种原料造粒所需的含水率。
表1.造粒各种原料时所需的水分含量

使用自动控湿装置,精确控制喷洒的液体量。通常情况下,将金属棒的传感器插入盘体的颗粒层中,金属棒的传感器与颗粒接触,在其与盘体之间形成单一的电路。电路的电阻随颗粒的含水量变化而变化,电阻值的变化被放大,从而控制喷雾器电磁阀的开闭。
3-6原料粉体和液体喷洒位置的确定
为了不干扰颗粒的滚动运动,原粉的投入和液体的喷洒位置离开颗粒的滚动轨道区,为了不干扰颗粒的滚动运动,原粉的输入和液体的喷洒位置避开颗粒的滚动轨道区。一般情况下,如果是顺时针方向的盘,则从盘右上角进料,然后从盘右中间位置喷洒上料液。
3-7.刮刀位置
4.圆盘转速计算
在倾斜旋转的圆盘造粒机中,颗粒经过有规律的滚动运动,逐渐变大,最后从盘外缘抛出。对提高造粒质量和生产效率来说,分析作用于盘内颗粒的作用力,确定盘内颗粒的旋转速度,使颗粒处于最佳运动轨迹,对提高造粒质量和生产效率是非常重要的。
4-1.粒子的作用力分析
如图5所示,旋转盘中的颗粒A受到离心力Fc、重力G、来自盘边的阻力力F和摩擦力Fr的作用。此外,重力G可以分解为垂直下落的分量力G2和因圆盘旋转而沿边缘落下的分量力G"2,摩擦力Fr也可以分解为干扰重力分量G2的Fr1和抑制引力分量G"2的Fr2。
图5圆盘旋转期间对粒子作用力

当所有作用力相互平衡时,颗粒A上升到A点。此时,下列力关系成立。
G”2=Fr1
F+G’2=Fc+Fr2cosβ
粒子超过A点的瞬间,重力G超过摩擦力Fr,粒子A向下滚动的瞬间,F变为零,
G’2=Fc+Fr2cosβ
或

省略了

改写一下

Ut:圆盘角速度

R:圆盘半径,m
F:颗粒与圆盘之间的摩擦系数,f=tanρs
α:圆盘倾角β:颗粒脱离角
N:圆盘转速,r/min
ρs:颗粒与圆盘的摩擦角
当颗粒落到圆盘底部时,重力G消失,离心力Fc使颗粒移动到圆盘边缘,在摩擦力Fr的作用下,颗粒在旋转作用下向上抛起。在这种情况下,粒子上升高度由粒子的脱离角β来决定。
从上述方程中可以看出,当圆盘直径、转速和倾角不变时,不同粒径的颗粒(颗粒的直径d),其脱离角也会有不同。这是由于摩擦系数因颗粒大小不同而不同。例如,如果我们假设颗粒A1的直径d1大于颗粒A2的直径d2,则颗粒与盘底面之间的摩擦角ρs
ρs1ρs2
由于摩擦系数为f=tanρs,所以f1f2,代入上式,得到cosβ1cosβ2,β1β2。
因此,粒径越大,脱离角越大,颗粒的抛高越低。在颗粒生长的过程中,根据颗粒的粒径大小不同,落在不同的高度上,进行分类。滚动的轨道曲线如图6所示。
图6.粒度不同的粒子的滚动轨道(a)和伴随粒子成长的滚动轨迹变化(b)

如图6的(a)所示,较小的颗粒到达盘中较高的位置,然后脱离,向下翻滚,提前滚到盘底。随着粒径的增大,粒径上升沿盘的左边缘到达的点逐渐减小,抛物线也逐渐向盘的左侧偏离。盘中颗粒的滚动轨道呈现出螺旋状(b)。
另一方面,颗粒在滚动造粒中的生长是指颗粒在沿盘底滚动的过程中,撞击小颗粒而粘住小颗粒的过程。单位时间内粒子翻滚次数越多,粒子的生长速度越快。因此,造粒效率与盘的转速成正比。但是,随着盘的转速的增加,离心力也随之增加,在离心力的作用下,颗粒被甩到盘边缘,进而阻碍了颗粒的排出和翻滚。同时,如果转速超过极限,颗粒在离心力的作用下将有被甩出盘外的可能。为了提高旋转速度,还应同时增加圆盘倾角,以提高旋转速度。但是,倾角增大,也会增加颗粒向下滚动的速度,颗粒与盘底和其他颗粒的结合力也会增加,如果超过了颗粒的结合力,颗粒就会崩解。
4-2圆盘倾角与圆盘直径的关系
圆盘倾角与直径有一个恒定关系,随着圆盘直径的增大,倾角随之减小。这是因为颗粒在斜坡上滚动的距离随着圆盘直径的增大而增大,在加速度作用下到达圆盘底部的瞬间,颗粒的速度也随之增大。为了减小该速度所产生的冲击力,防止颗粒解体,应减小平底盘的倾角以减小加速度。
圆盘倾角α与直径D之间的关系如图5(b)所示,在引力G2的作用下,颗粒沿盘的斜面滚动。阻止滚动的力是摩擦力成分Fr2。当滚动距离为L时(滚动距离L的最大值对应于圆盘的直径D),则各作用力对粒子的作用力为:

如果所有的作用都转化为粒子的动能,那么粒子的动能增加量:

假设转动开始的初期速度为0,ut,0=0时,粒子的动能增加量相当于各作用力的作用.

粒子滚下距离L(圆盘直径D),到达其终点的瞬间其速度达到最大。

m:粒子的质量;ut:落下粒子的速度;α:盘的倾角。
如果发现使用直径为D1的圆盘,在造粒试验中得到的颗粒强度(密度)最大的颗粒强度(密度)为α1,则实际生产中使用直径为D2的圆盘的最佳倾斜角α2可由以下公式计算出:

如果假定所有的原料颗粒都到达盘中垂直线的中段顶点后,再向下滚动,则所谓的理想滚动轨迹为:颗粒落差角β为0°,圆盘倾角α可由下列公式计算出:

但是,原料粉末的各粒子的粒度不同,有一定的粒度分布,实际上并不存在上述理想的滚动轨道。实际上,圆盘倾斜角小于计算值。
4-3.计算圆盘转速
由于圆盘旋转速度主导着颗粒滚动,所以这个速度的设定非常重要。通常情况下,圆盘转速是由造粒用原料颗粒的临界转速决定的。临界转速是指圆盘上的所有原料颗粒随圆盘的旋转而旋转,但不被旋转的离心力甩出圆盘的最大转速。

Nc:临界速度,r/min;D:圆盘直径,m;α:圆盘倾角
根据经验法则,圆盘实际转速N对应于临界转速Nc的0.5~0.8。需要注意的是,圆盘旋转速度越慢,颗粒的平均粒径越小。表2是用小型实验性圆盘造粒机的实验结果,显示了圆盘旋转速度与颗粒粒径分布的关系。
表2.圆盘转数对粒子粒度分布的影响

此外,为了得到造粒时最佳颗粒成球率,可以通过以下经验方程计算出圆盘的转速、直径、倾角之间的关系,得到最佳的颗粒成球率:

N:圆盘转速,r/min;α:圆盘倾斜角;D:圆盘直径,m
在这个经验方程中,系数的数值随造粒材料的比重、圆盘形状和有无造粒促进剂而略有变化。最佳值需要通过实验来确认。
5.圆盘造粒机的规格和参数
如图2所示,圆盘造粒机由机座、制粒盘(盘)、传动装置(电机、减速机、动力滚动轴等)、盘倾角调节装置、摇臂(连接有喷淋和刮板)、原料送料器等组成。圆盘倾斜角度可从35°~55°调节,圆盘速度可从10~30r/min调节.表3和表4汇总了制造商手册中的规格和参数。
表3.圆盘造粒机的规格和参数(1)

表4.圆盘造粒机的规格和参数(2)

6.特殊形状圆盘
此外,还有一些特殊形状的圆盘用于特殊用途,如以下几种。不过,这种特殊形式的盘面,在化肥行业的应用并不多。
6-1.多级圆盘
如图7所示,一个多级圆盘呈现出三个不同的形状,直径不同,内级较小,中间级、外级较大,依次为内级中级外级。原料颗粒被送入内段,形成小颗粒,然后移动到中段,变大,再移动到外段,最后变成大颗粒。多级锅用于粒径在10毫米以上的大颗粒造粒。
图7.多段圆盘

6-2重盘式。
2重盘由图8所示的小直径高边的内锅和图8所示的大直径低边的外锅组成,复式锅主要用于低密度、易变形的颗粒造粒。原料颗粒被送入内盘,经造粒至预定尺寸后,再排入外盘。颗粒在外盘中进一步造粒,使颗粒呈球形,增加了颗粒的致密性,使用2重盘造粒的颗粒具有高度的球形,内部致密,表面光滑,质量非常好。
图8.2重盘式

6-3.截头锥形锅
如图9所示,圆锥切头盘的圆锥体呈碗状,边缘比普通圆盘高,使颗粒在圆盘中的滚动停留时间较长,分级效果较高。
图9.截头圆锥造粒机

6-4.锥形锅
如图10所示,本发明的圆锥盘是在图10所示的截头圆锥盘的基础上改进而成的,圆锥盘的边缘进一步凸起,形成一个圆锥形的圆柱体。颗粒在锅中的滚动停留时间更长,分级效果更强,适合大颗粒的造粒。
图10.圆锥盘

三.转鼓造粒
转鼓造粒机包括:圆柱形的旋转滚筒、电机、减速机等,按一定角度布置。在转鼓旋转的同时,原料颗粒以及水或造粒促进剂液体从转鼓的上端进料,通过滚筒的滚动实现造粒。在转鼓中,原粉粒从转鼓下端排出,经过颗粒核的形成、生长、定型及完成等阶段。转鼓造粒与圆盘造粒的主要区别在于:转鼓造粒对造粒颗粒的粒径没有分级作用,所以所有的造粒颗粒都是从进料口进入,造粒后的粒径分布倾向于近乎正态分布。
与圆盘造粒机相比,转鼓造粒机的造粒成本较高,需要的安装面积较大,在造粒过程中颗粒情况不明显,不分类,废品颗粒多,需要返料制粒,所以目前在引进新的制粒机时,往往优先考虑圆盘制粒机。
转鼓造粒机的结构轮廓如图11所示,照片如图12所示。
图11转鼓造粒机

图12.转鼓造粒机照片

为了提高生产效率,可在转鼓造粒机后端设置干燥设施,使颗粒物同时干燥。
1、转鼓造粒机的结构
1-1.滚筒;
滚筒是一个造粒容器。它是用钢板制成的圆柱形,内部通常贴有橡胶板,防止高粘性材料粘附在筒壁上。滚筒的长度和直径取决于造粒物料的质量要求和造粒颗粒的质量要求,其计算方法将在下一节中介绍。在滚筒的外圆周上安装了一个旋转的驱动齿轮和一个保持位置稳定的旋转挡轮。
1-2.电机和减速机、传动辊
电机为滚筒旋转提供动力。电机输出通过减速齿轮减速,并通过减速齿轮驱动滚筒旋转。
1-3.倾角调整装置
这是一种调整滚筒倾斜角度的装置,用于调整滚筒倾斜放置的角度。小型转鼓造粒机通常采用手动调节,而大型滚筒造粒机则采用电动调节器。
1-4.材料输入口
通常情况下,在给料机上安装一个料斗,从输送带上输送的颗粒物被储存在料斗中,然后在给料机的转鼓中喂入。
1-5.颗粒物出口
颗粒出口安装在滚筒的底部,用于接收颗粒,并将其送入干燥设备或筛分机。
2.转鼓造粒机各参数的计算方法
与圆盘造粒机不同的是,使用转鼓造粒机进行造粒时,滚筒内的颗粒没有任何的运动,所以在工作时不容易调整机器的位置。当造粒材料有限时,最好提前计算好参数并进行调整。
2-1.滚筒的长度和直径
滚筒是一个造粒容器。它的长度和直径决定了颗粒的生长速度和生产效率。转鼓的长度为润湿部(Ly)、颗粒成型部(Lk)、稳定成型颗粒并增加颗粒密度的颗粒成型部(Lc)和给料部(Bk)的长度之和。如果安装了烘干设备,应包括烘干段的长度(Dy)。

由于给料器(Bk)不造粒,所以其长度与给料器的位置有关,约为0.5-2m。
物料润湿部分(Ly)是指原料颗粒被喷出的液体润湿,在颗粒表面形成液体层的部分。假设材料根本不吸水,所有的液体在颗粒表面形成液态层,则单位时间内喷入单位材料流中的液体量为润湿速度I即kg/(m2-min))。

τy:润湿时间(min);PB:喷雾液量(kg);QB:造粒过程所需液体量(kg/min);AL:物料的表面积(m2);Ly:物料被润湿部分的长度(m);Li:颗粒在转鼓中的移动距离(m)
造粒过程中的液体需求量QB可由原料的含水率(wk)、造粒颗粒的含水率(wh)、原料的重量(Qm)来计算。

一旦知道液体需求量QB后,可由下式计算出原料的湿润部分的长度(Ly)。

颗粒成型部分的长度(Lk)可以根据颗粒在滚筒中运动的速度来计算。颗粒沿转鼓的水平轴移动的速度为:

u:粒子的移动速度;Li:转鼓内滚动一圈的水平移动距离;τx:旋转所需时间
由直角三角形ABC可计算出一个粒子在滚筒中旋转一圈的水平运动距离Li。如图13所示,AB边为粒子旋转的垂直投影线,AB=Dsin(ג/2),粒子的水平运动距离为:

ג:颗粒在滚筒中的滚动角γ:颗粒的螺旋滚动角
图13:颗粒在滚筒中的滚动曲线

一旦知道了粒子形成所需的旋转次数,粒子形成部分的长度(Lk)可以由以下公式计算出:

n:形成颗粒所需的转数
根据造粒机单位重量物料的造粒能耗与造粒过程模型计算出的最佳能耗相同,可以估算出成型颗粒的成型部分的长度(Lc)。
单位长度(1米)的转鼓单位长度的原料造粒所需的能量相当于转鼓旋转所需的能量。

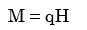
E:旋转1米长的转鼓所需的能量;M:颗粒流动旋转时产生的阻力;n:转鼓旋转次数;τ:颗粒运动1米所需的时间
粒子流旋转中产生的阻力力(M)为

q:单位长度(1米)的滚筒载荷;H:滚筒旋转中心到粒子重力作用线的垂直距离。
一旦知道了转鼓单位长度的旋转能量E,那么粒子的成型长度(Lc)就可以通过以下公式计算出粒子的成型长度(Lc):

Qm:物料重量;e:1kg造粒所需能量;R:系数;D:转鼓直径;H:转鼓旋转中心到颗粒重力作用线的垂直距离;n:转鼓旋转次数;ѱ:转鼓内物料填充率
如果我们如上所述确定Bk、Ly、Lk和Lc,那么鼓的长度就是这些长度之和。另一方面,可以根据所需的产量计算出滚筒的直径。由于单位时间内的产量与单位时间内投入的原料重量Qm相同,所以生产所需的滚筒直径可由下式计算。

AF:颗粒在滚筒中的流动截面面积;u:颗粒运动的水平速度。
颗粒在转鼓中的流动横截面积AF由转鼓中的物料充填率ѱ计算得出。

鼓的直径

2-2.实际转鼓造粒机参数
表5显示了NPK造粒用的转鼓造粒机和以尿素为原料的有机肥造粒的参数,具体参数见厂家介绍。
表5.以尿素为原料的NPK化成,有机化成造粒用转鼓造粒机的参数

3.转鼓造粒机的特殊用途
除化肥造粒机外,还有一些特殊用途的转鼓涂布式干法造粒机,如转鼓磷肥(DAP、MAP)造粒机、带氨化反应设备的转鼓涂布式干法造粒机等。这些造粒机都配有热风干燥和筛分设备,不合格的小颗粒作为返料返回转鼓作为颗粒芯使用。颗粒的生长并不是滚动粘附,而是主要是由压缩空气吹来的浆料主要是附着在回粉的小颗粒上,在滚动过程中被塑形、干燥。图14和图15所示为转鼓造粒机理的磷粒化机理。
图14.MAP用转鼓浆料涂布造粒干燥机的结构图

图15.带有MAP用氨化学反应装置的转鼓浆料涂布造粒干燥机的结构图

4.振动造粒
在振动造粒法中,利用振动电机使造粒容器的偏心旋转产生一个不平衡的离心力,不平衡的离心力使原料滚入造粒容器中,在此过程中,原料相互碰撞、粘结,形成粒核,使颗粒不断长大,形成所需粒度的颗粒。此法方法造粒下颗粒强度和形状都很好,但由于设备小,生产效率低,在化肥生产中很少使用。振动造粒机按其结构和造粒容器的形状大致可分为卧式振动盘式造粒机、振动搅拌式造粒机、振动床式造粒机等。
1、卧式振动盘式造粒机
卧式振动盘造粒机由水平放置在四脚支撑弹簧上的圆盘(盘)和安装在盘下的振动电机组成。振动电机使圆盘做圆周运动振动。将被液体湿润的谷物粉状物送入圆盘圆心,在振动的作用下,由圆心滚入圆盘,离开圆心,向圆盘的边缘移动,使之立体化。长出的颗粒从圆盘边缘排出。其原理如图16所示,造粒机的结构轮廓如图17所示。
图16.水平振动圆盘造粒原理

图17.水平振动盘造粒机的结构概略图

卧式振动盘式造粒机的特点是分级作用,颗粒大小均匀,呈现出几乎完美的球形。能源消耗低。缺点是产量较小。常被用于制药造粒。
2.振动搅拌造粒机
振动搅拌造粒机的搅拌螺杆装在一个倾斜的圆柱形滚筒中,并有一个单独的电机使搅拌螺杆旋转,4支腿上的弹簧支撑着滚筒,滚筒下安装有振动电机,使其振动。滚筒内的搅拌螺杆会转动,但电车本身不会转动。
被液体湿润的物料粉末从转鼓的一侧送入,在振动下通过搅拌螺杆的旋转,将物料进行立体滚动,通过转鼓形成、生长、成型的颗粒核,然后从另一侧排出。安装在转鼓中的隔板通过调整颗粒的停留时间来控制颗粒的大小。振动搅拌器的结构轮廓如图18所示。
图18.振动搅拌造粒机的结构示意图

振动搅拌器的特点是分级作用,颗粒大小均匀,产量稍大。缺点是消耗了动力消耗大。
3.振动床造粒机
本发明的振动床造粒机设有圆柱形或长方形的造粒容器,该造粒容器安装在四个或多个支撑弹簧支腿上。造粒箱不转动,但在振动电机的作用下,造粒箱会前后左右振动。在造粒容器的中间偏下方设置振动床,其形状就像锯齿一样成为阶梯。楼梯的下降段短而险峻,上升段长而缓慢。在振动床的后部钻有热风孔,通过热风吹出,使颗粒物干燥。
将被液体湿润的物料原料颗粒从造粒容器的一侧进料,在振动床上通过振动,使粉末和颗粒在振动床上前后左右、侧向移动。粒子核形成、生长,并经热风干燥,再排出。
振动床造粒机的结构轮廓如图18所示。
图18.振动床造粒机的结构概略图

振动床造粒机的特点是分类,颗粒粒度均匀,不需要因为干燥设备的原因而分开干燥。生产能力大。缺点是它的能量消耗比较大。
---------------------------------------------------------------------------------------------------------------------------------
由于作者翻译能力有限,文中尚有很多不足与不完善的地方,敬请您的谅解,在您发现不足之处,也请您及时提出,我将及时补充完善。
大家共同学习提高吧!
2020年1月26日




















