放大器设计中使用的无源元件是电感,电容和电阻。它们的尺寸,额定值和封装根据放大器的操作参数而有所不同。大多数时候,电容和电阻需要作为现成的部件购买,而电感可以由放大器设计者设计。
电感
根据应用频率,电感可以实现为分立元件或者分布元件。如果电流流过绕线,则磁通密度会在每匝产生磁通量,如图12所示。而通量密度和通过每个转弯的通量之间的关系可以表示为:

如果有N个绕线圈,那么我们将磁通量定义为:

电感定义为磁通量与流过绕组的电流之比,如下式所定义:

由上面公式定义的电感也称为由绕组形成的磁芯的自感。电感的核心可以是空心核心或磁芯核心。
根据应用,电感可以形成为空芯电感器或磁芯电感器。当空心电感器通过绕组形成并在高频(HF)下工作时,电感器具有高频特性。这包括电感的每圈绕线之间的绕组电阻和分布式电容效应,如图13所示。

图12每个绕线圈的通量

图13RF(射频)电感的高频效应
电感的高频模型可以通过其等效电路来说明,如图14所示。

图14射频空芯电感的高频模型。

图15等效串联电路。
结果,电感器将充当高达某一频率的电感器,然后进入谐振并在谐振频率之后呈现电容效应。可以看出这可以获得高频电路的串联等效电路,如图15所示。
图15中:

式中:


当Xs=0时,得到共振频率:

品质因数来自:

图14中的Cs是电容,包括电感中的分布电容的影响,如下所示:

空芯电感设计
在实践中,电感器可以使用磁芯实现为空芯或环形电感器,如图16所示。

图16(a)空心电感器和(b)环形电感器。
对于图16中给出的空芯螺线管电感,可以使用以下关系计算电感:

在该等式中,L以[μH]中的电感给出,d是以英寸[in]表示的线圈内径,l是以英寸[in]表示的线圈长度,N是线圈的匝数。上面的公式中给出的公式可以扩展到包括空气线圈电感器每匝之间的间距。然后,上面公式可以修改为:

在这个公式中,a表示以英寸为单位的线径,s表示每圈之间的间距,单位为英寸。
磁芯电感设计

图17(a)环形磁芯中的磁通量和(b)环形的几何形状。
在几种RF应用中,可能需要在空间受限的区域中具有更大的电感值。增加空心电感器的电感值的一种解决方案是增加匝数。然而,这增加了空芯电感器的尺寸。使用磁芯可以克服这一挑战。使用环形磁芯的另一个优点是还可以将磁通保持在磁芯内,如图17所示。这提供了自屏蔽功能。在空心电感器设计中,空气被用作非磁性材料来缠绕其周围的电线。当用诸如环形磁芯的磁性材料代替空气时,可以使用计算出的电感器的电感来计算感值:

在上面的公式中,L是以纳亨为单位的电感[nH],N是匝数,μi是初始磁导率,ATc是磁芯的总横截面积,单位为cm^2,以及le是以cm为单位的核心有效长度。核心的有效长度le定义为:

其中od是外部,id是核心的内径,单位为cm。芯的总横截面积ATc定义为:

其中h是指以cm为单位的核厚度,n用于定义堆叠核的数量。
在其数据手册中获得有关磁芯电感指数的信息并不罕见。如果给出电感指数,则上面的公式可以修改为:

其中AL是nanohenries/turn2的电感指数。环形磁芯的最大工作磁通密度由下式计算得出:

在上面的公式中,Bop是高斯的磁通密度,Vrms是电感两端的最大均方根电压,单位为伏特,f是以赫兹为单位的频率,N是绕线圈的数目。ATc是核心的总横截面积,单位为cm^2。环形磁芯电感器的正确设计需要确定电感器的工作电压和所需的电感值。这有助于确定电感器设计的正确材料,以防止饱和。
平面电感设计
在高频应用中,诸如螺旋电感器的平面型电感器可以是减少寄生效应影响的良好选择。螺旋型平面电感器广泛用于功率放大器,振荡器,微波开关,合路器,分离器等的设计中。
HF(高频)范围内的螺旋电感器的电感值可以使用Greenhouse提出的具有良好精度水平的准静态方法来确定。

图18(a)矩形螺旋电感器,(b)电流灯丝的布局,以及(c)双平行灯丝几何形状。
Greenhouse提出的方法考虑了每条走线之间的自耦合和相互耦合。电感计算中使用的两个导体的布局如图18a所示。GMD是两个导体之间的几何平均距离,AMD代表两个导体之间的算术平均距离。螺旋电感器的总电感是:

其中LT是总电感,L0是自感的总和,ΣM是总互感的总和。对于图18b和18c中所示的螺旋电感,可以证明下面给出的公式是可用的:

然后可以在用于螺旋电感计算的算法中使用的一般关系变为:





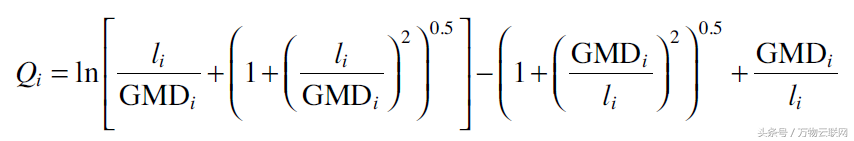
其中Li是段i的自感,Mij是它们之间的互感;段i和j,li是片段i的长度,μ是导体的导磁率,T是频率校正因子,d是导体细丝之间的距离,w是导体的宽度,t是导体的厚度,Qi是片段i的互感参数,GMDi是片段i的几何距离,AMD是算术平均距离。
(完)




















