摘要:本文介绍了陶器成型工艺中所使用的转动装置及其分类方法。从转动装置的结构出发,结合受力分析,认为中轴与轴承的出现可作为转动装置演变的两大节点,前者区分无轴转盘与陶轮,后者区分慢轮与快轮。中轴有枢轴式与榫卯式两类,轴承可分为凹式与凸式两型。新石器时代晚期,慢轮普遍出现在近东、伊朗、印度、中国等地,以枢轴式单轮盘慢轮为主,近东地区的慢轮最早用于修整盘筑后的陶器初坯,随后方出现盘筑拉坯工艺,中国境内,盘筑拉坯工艺直至快轮出现后依旧使用。快轮分为单轮盘与双轮盘快轮两类,中国民族志中所见快轮装置以枢轴式凹式轴承单轮盘快轮为主,较之慢轮,除新增轴承构件之外,轮盘尺寸增大、重量增加,既提高了转速,也通过转动惯量的增加提升了维持转动动能的能力。单轮盘快轮多设计如车筒或横木等平衡装置,保证了陶轮快速转动时的稳定性,也利于静止状态下陶轮的水平放置,实现了“快轮慢用”,在拍打、接坯、装饰等工序中继续发挥效用。
陶器的制作工艺(technology)包括成型与烧造两大内容。成型工艺决定了陶器的外形,而外形是功能的直接反映,在陶器考古学研究中,成型工艺的分析既是首要问题,也是核心问题[1]。陶器的成型工艺通常分为三类,手制、模制与轮制,较之前两者,轮制工艺(又称为轮制法或轮制技术)由于借助陶轮的转动动能辅助陶器成型,是一种更为复杂的制陶工艺。轮制工艺,顾名思义,即使用陶轮制作陶器的工艺,应包括两个核心内容,即陶轮装置及依凭于陶轮的工艺,对陶轮概念与范畴的界定是讨论工艺的前提。
轮制工艺是中国新石器时代晚期及末期黄河中、下游及长江中、下游的主流成型工艺[2]。快轮一次性拉坯工艺的出现提高了陶器的成型效率,易于获得壁厚一致、外形匀称的陶器,并有助于提高陶器群的标准化程度。陶轮的出现是制陶手工业中使用的转动装置结构优化的结果,伴随着陶轮性能的提升,轮制工艺的内涵日益丰富。只有完整梳理转动装置的发展过程,才能更好地界定陶轮的范畴,分析陶轮出现的原因,并对轮制工艺的内容与演变过程进行讨论。下文将从结构出发,结合转动装置使用过程中的受力分析,阐释转动装置的分类标准及其结构、性能优化的方向,并重点对陶轮及依托陶轮的核心工艺内容进行介绍。
一、转动装置与陶轮的分类
陶器制作过程中使用的能够旋转的设备统称为转动装置(rotaryinstrument),东西方学者常使用两种分类方式对其进行讨论:第一种依据转动装置的结构分类,如福斯特()[3]、卢克斯(ValentineRoux)[4]与杰弗拉()[5];第二种依据是否可以实现拉坯工艺进行分类,如柴尔德[6]、李文杰[7]与栾丰实[8]。(表一)第一种分类方式中,福斯特与卢克斯教授强调转动装置中轴的有无与转速的快慢,而杰弗拉博士认为应兼顾转动装置的稳定性与速度,即根据转动装置维持转动动能的能力来进行分类。第二种分类方式的分歧多集中于陶轮的定义上,如栾丰实教授认为可以实现拉坯工艺者为陶轮,李文杰教授则强调只有能够实现一次性拉坯成型工艺者方可称为陶轮。


陶轮(potter'swheel)的定义与分类至今尚未统一,东西方研究中常见二元对峙的命名方法,如中文文献中的慢轮(slowwheel)与快轮(fastwheel),以及西方研究中的转盘(turntable或tournette)与(真正的)陶轮(truewheel或wheel),慢轮对应转盘,快轮对应陶轮(包括简单陶轮与双轮盘陶轮),两者的核心区别在于转速[9]。(表一)柴尔德、福斯特、卢克斯与李文杰教授认为,真正的陶轮是可以完成一次性拉坯成型任务的转动装置,因此需要达到一定转速[10]。转速是陶轮性能的表现,只有机械结构的合理设计才能提升陶轮的性能,而提升后的性能方能满足一次性拉坯成型工艺的需要。一次性拉坯成型工艺是转动装置结构优化后才可能出现的工艺,依据事物出现的先后顺序,应以结构来定义陶轮。近年来,随着东西方慢轮及慢轮盘筑拉坯工艺的大量确认,慢轮所具备的轮轴结构的完整性及其在拉坯工艺演进过程中的重要作用逐渐显现。作为陶轮发展的早期阶段,具有轮轴结构且能实现真正转动运动的慢轮(或西方学者命名的转盘)也应纳入陶轮范畴。
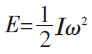
陶轮包括慢轮与快轮,是陶器成型过程中使用的轮轴机械装置,性能的提升是慢轮向快轮转变的内在动力,合理的机械结构设计是提升性能的前提[11]。对于任意陶轮装置而言,皆需具备中轴(转轴、枢轴、车轴、车桩)与轮盘(车盘)两个构件。轮盘为操作台面,是放置泥料、制作陶器的部件,中轴为支撑及固定轮盘的部件,通常深埋地下以保持陶轮的稳定。陶轮的中轴皆为竖轴,轮盘为刚体,运动形式为转动,本质是轮盘的定轴转动[12]。轮盘转动时所受外力主要由人工施加,外力推动轮盘运动后转变为轮盘的转动动能E(rotationalkineticenergy),

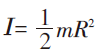
。其中Ι为转动惯量(momentofinertial),根据公式

,转动惯量的大小等于质量(m)与轮盘半径(R)平方乘积的二分之一;ω为角速度,据公式ω=2πn(n为转速)可知,角速度与轮盘转速成正比[13]。由上,轮盘的转动动能受两个因素的影响,其一为转动惯量,其二为转速,陶轮转速与转动惯量成反比,即转速越快,转动惯量则越小。此外,为保证泥料的拉坯成型,失去外力后,陶轮需在一段时间内保持“高速”地旋转。根据刚体定轴转动定律Μ=Ια,刚体做定轴转动时,角加速度α与合外力矩Μ成正比,与转动惯量Ι成反比,在合外力矩给定情况下,转动惯量大,则获得的角加速度小,即角速度改变的慢,也就是保持原有转动状态的惯性大[14]。当作用于轮盘的外力撤去后,轮盘的转动惯量越大,则保持外力撤去时转动状态的惯性就越大,有助于维持陶轮的转动动能,保持轮盘较长时间的高速转动。陶轮的转速与转动惯量不可兼得,且陶轮结构的优化并非追求最快的转速与最大的转动惯量(转速过快无法拉坯,转动惯量过大难以驱动),合理的结构设计应在满足陶器生产要求的前提下,找到适宜陶工操作的转速与转动惯量的平衡点。
转动惯量是定轴转动刚体惯性的量度,是刚体的固有属性,影响陶轮转动惯量大小的因素主要为轮盘的总质量和质量分布,因此轮盘的转动惯量由其材质、尺寸与形状决定[15]。轮盘不仅需要具有足够的质量,还需有合理的质量分布。相同质量的轮盘,外缘部位的质量越大则转动惯量越大,因此,陶工常加厚轮盘外缘以获得更大的转动惯量。轮盘的角速度由合外力决定,合外力越大,角速度越大,转速越快。合外力的大小主要受到陶工施加的力同轮盘与中轴的摩擦力的影响。为了实现以较小的力推动轮盘“高速”旋转,除施力方式的改良外,还需降低轮盘与中轴的摩擦阻力。同时,阻力矩会使轮盘减速,获得负的加速度,因此,还需通过减少摩擦阻力以维持轮盘转速[16]。此外,为了便于实际操作及提高拉坯质量,陶轮需要具备稳定的结构及易于陶工操作的轮盘尺寸[17]。
由上,合理的陶轮结构需满足以下要求,省力的驱动方式、足够的转动惯量、较小的摩擦阻力及稳定的水平旋转。参考已知考古学与民族学材料,搅棍的引入改善了陶轮的驱动方式,轮盘尺寸的增加与材质的选择加大了陶轮的转动惯量,轮盘下附加的车筒、横木等平衡装置保证了陶轮的稳定水平旋转,而较小摩擦阻力则需在轮盘与中轴间增添一特殊部件——轴承。轴承是确定中轴与轮盘的相对运动位置,支承中轴与轮盘的零部件,通常可拆卸[18]。轴承的出现既可减少中轴与轮盘直接接触的面积,还可通过轴承材料的选择降低摩擦因子,减少旋转过程中的摩擦与磨损,保证陶轮在少量驱动力做功的情况下长时间、高精度、稳定、“高速”转动。此外,通过更换轴承还能降低陶轮的重置成本。轴承是陶轮机械结构改良中的重要创新,可作为区分慢轮与快轮的关键性证据。
综上所述,从机械结构出发,首先以中轴的有无将转动装置分为陶轮与无轴转盘,随后以轴承的有无为特征区别快轮与慢轮,具有轴承的快轮装置仅需少许驱动力即可推动轮盘转动,且能有效维持转动动能,实现陶土的一次性拉坯成型。结构的优化是工艺实现的前提,对于存在实物的转动装置而言,依据结构划分显然更加直观明了。然而考古遗址中极少出土完整的转动装置,转动装置存在与否的判断多依赖于陶器器身制作痕迹的分析,由此,考古学家习惯于依据制作痕迹所反映的制陶工艺来判断是否使用转动装置、使用何种转动装置。结构和工艺相辅相成,并不矛盾,应首先从结构优化的角度建构转动装置的演变链条、关键节点及对应的工艺内容,随后结合陶器遗存上保留的工艺特征进行验证、调整与补充,方能厘清转动装置与轮制工艺的发展脉络。下文将使用代表性的陶轮案例对慢轮、快轮的常见结构、类型及相关工艺进行介绍。
二、慢轮与陶轮盘筑工艺
慢轮由轮盘与中轴构成。轮盘材质多样,已发现木、陶、石质等,直径普遍偏小,多小于50厘米,限制了陶轮的转动动能,以单轮盘慢轮为主。(图二)使用过程中,工匠通常用手或脚直接推动轮盘旋转,或由助手帮助转动轮盘。由于轮盘转动惯量小,中轴与轮盘接触面积大,限制了陶轮的转速、稳定性与维持转动动能的能力,一旦失去外力,轮盘将很快降速。

轮制工艺经历了由简单到复杂的发展过程,随着陶轮性能的优化,其内容日益丰富,逐渐成熟。美索不达米亚、伊朗、印度河谷公元前4世纪至3世纪制陶手工业中所使用的慢轮最早仅用于修整陶坯,随后才出现盘筑拉坯工艺[19]。在陶轮上使用泥条筑成法制作陶器的复合成型工艺在西方术语中称为wheelcoiling,以陶轮为依凭的转动动能参与到盘筑泥条、粘接泥条、减薄器壁、修整器型中的某个或多个步骤,是泥条筑成工艺(coiling)、陶轮修坯工艺(wheelfashioning)及陶轮拉坯工艺(wheelthrowing)的结合,可暂译为陶轮盘筑工艺[20]。依据拉坯工序的有无分为两类,即陶轮盘筑修坯工艺与陶轮盘筑拉坯工艺。陶轮盘筑修坯工艺中不存在拉坯工序,最早且多在慢轮装置上使用;而陶轮盘筑拉坯工艺特指将盘筑后的泥条拉坯成型的工序。由于两类工艺在慢轮与快轮装置上皆可实现,为精确化描述,可将陶轮盘筑修坯工艺细分为慢轮盘筑修坯工艺与快轮盘筑修坯工艺,将陶轮盘筑拉坯工艺细分为慢轮盘筑拉坯工艺与快轮盘筑拉坯工艺。
美索不达米亚北部哈姆卡尔遗址(Hamoukar)中发现了铜石并用时代晚期约4400—3800BC(LateChalcolithic1-2periods)使用慢轮修整的陶器[21]。叙利亚东北部费雷斯遗址(TellFeres)中出土了公元前4世纪初使用慢轮盘筑工艺制作的半球形的科巴碗(cobabowl),其外形规整匀称,壁厚均匀,使用外来的含有蛇纹石的红色黏土制作,数量极少,仅占陶器总量的0.7%左右,且集中发现于聚落中央一处具有特殊功能的大型公共建筑中,该建筑内集中出土了该遗址使用慢轮制作的全部陶器[22]。根据巴尔迪(JohnnySamueleBaldi)的研究,费雷斯遗址的慢轮主要用于陶器的修整,较之捏塑法,使用慢轮制作科巴碗的生产效率更低[23]。另外,结合科巴碗的口径标准化程度分析发现,费雷斯遗址的科巴碗仅由少数工匠制作,慢轮盘筑工艺仅掌握在少数专业陶工手中,为社会精英阶层服务[24]。黎凡特南部如叙利亚卡拉萨遗址(TellQarassa)铜石并用时期(约4500BC)遗存中也发现了使用陶轮的迹象,遗址北部出土了6件使用慢轮盘筑工艺制作的V形碗,使用外来黏土原料制作,出土于重要建筑基址之中[25]。美索不达米亚北部与黎凡特南部大致在4500BC皆出现了慢轮盘筑修坯工艺,仅用于制作在特殊场合供少数贵族使用的小尺寸开口式碗类器物,且此工艺仅为少数陶工群体所掌握,未推广至其他日用陶器的制作中。卢克斯教授认为黎凡特南部地区使用慢轮盘筑修坯工艺制作陶碗的工匠为流动性的专业陶工群体,人数少,在一定时间附属于某些贵族,慢轮的使用并非是为了提高陶器生产效率与产量,而是为了制作具有象征意义的在特定场合下使用的陶器[26]。近东地区出土的陶轮完整实物较少,多为石质,偶见陶质,以色列亚慕斯遗址(telYarmuth)发现了两件属于青铜时代早期三段偏晚(lateEarlyBronzeAgeⅢ,2600-2350BC)的玄武岩质转盘,皆由上、下轮盘组成。位于宫殿建筑B1的转盘年代为2500BC,出土时放置一处[27]。上轮盘质地较粗糙,直径36.8厘米,厚4.8厘米,底面有一圆形凸起台面,台面中央为圆锥形的凹槽;下轮盘质地较细腻,直径17.4厘米,厚3.8厘米,中间有一穿孔,孔径为2.4~3.2厘米,顶面有一圆形凸起,与上轮盘底面扣合[28]。(图二:1)使用时将固定于地面的木轴穿过下轮盘后插入上轮盘底部凹槽中,旋转过程中下轮盘固定,上轮盘转动,两个轮盘中间涂抹泥浆以作润滑之用,此轮盘最快转速可达每分钟80转,主要用于礼仪性陶器的修整[29]。
距今8000年至7000年的浙江萧山跨湖桥遗址发现了可能为慢轮构件的木质“砣形器”,据邓泽群等先生的研究,跨湖桥陶器器壁匀薄,造型规整,已用慢轮修整[30]。(图二:3)距今7000年前后,慢轮修坯工艺已见于中国新石器时代晚期的多个遗址中,在北辛文化、仰韶文化半坡类型、马家浜文化的陶器上业已发现慢轮修整的迹象[31]。河南裴李岗文化末期的大岗遗址及甘肃、陕西、山西、河南等地仰韶文化时期的遗址中常出土一种形制特殊的陶盘,多被称为“帽式陶转盘”,直径25~50厘米,高5~11厘米,有一小平顶,宽10~15厘米,有学者推测为扣在木质轮盘上的一个构件,主要用于慢轮修坯工艺[32]。(图二:2)
陶轮盘筑修坯与拉坯工艺同时得到了民族学材料的佐证。云南西双版纳景洪傣族陶工使用慢轮盘筑修坯技术制作陶器,慢轮为单轮盘,主要用脚推动,轮盘面大底小,底部设孔用以嵌入立于地面的木柱(或竹竿),轮盘转速为每分钟4~6转[37]。(图二:6)陶器的成型过程全部在慢轮上完成,首先在轮盘上通过圈筑法制作筒状雏形,再结合刮、抹及拍打等工序修坯成型。索马里兰盖力卜(Gelib)陶工使用的榫卯式慢轮由木质轮盘和底座构成,底座低矮,高3.5厘米,下部埋于地下,上部呈半球状,同轮盘中部的凹槽套接,使用时以脚推动。(图二:5)轮盘直径28.7厘米,重量轻,转动惯量小,轮盘与底座的接触面积大,摩擦阻力大,不易维持轮盘的转动动能,仅适用于盘筑修坯工艺[38]。彭小军博士总结山东即墨西城汇、莒南县薛家窑、泗水柘沟、广西靖西念者屯、云南西双版纳曼郎、曼海等地有关“泥条拉坯成型技术”的民族学材料,发现其多使用有轴陶轮,在粘接泥条步骤借助转动动能提拉坯体制成陶器雏形,待坯体含水量降低之后通过刮或拍打的方式保证泥条紧密连接,并同时实现减薄器壁,调整器形的目的[39]。所使用的陶轮既有慢轮也有快轮,如广西靖西龙腾中屯壮族陶工所使用的“转”与西双版纳曼海寨傣族陶工所使用的“木轮”皆为慢轮(图二:4、6),而西城汇与泗水柘沟明确使用铁质圆锥状突起作为轴承连接轮盘与中轴,应为快轮装置[40]。(图三)

三、快轮


双轮盘陶轮(doublewheel)由上下两个轮盘组成,上轮盘的高度通常与地面一致或略高于地面,轮盘材质常见陶、木或石质,其使用年限依次增加。(图六)上轮盘直径一般小于下轮盘,上下轮盘通常为一个整体,套接于中轴之上,中轴埋于地下以稳固陶轮。使用时,陶工通过脚踢下轮盘带动上轮盘旋转,因此也常被称为脚踢式陶轮(kickwheel)(图六:3、4),也见使用木棍或条带为下轮盘提供驱动力的情况。(图六:1、2)由于施力面与操作面分开,双轮盘快轮理论上可以不间断转动,此其最大优势所在。此外,双轮盘结构增加了轮盘整体的质量,增加了转动惯量,下轮盘同时充当平衡装置,保证陶轮的水平旋转。
双轮盘陶轮在今印度西北部地区仍比较常见,陶轮整体放置于深约91厘米的坑中,木质上轮盘直径约在25厘米左右,小于下轮盘,高度与地面平行,上下轮盘间距60厘米,通过脚蹬下轮盘推动陶轮旋转[53]。(图六:3)爪哇有一种称为prebot的双轮盘陶轮,上下轮盘皆为木质,上轮盘较大,为“母板(uncherwedok)”,下轮盘较小,为“公板(uncherlanang)”,仍通过脚踢下轮盘带动上轮盘转动[54]。晚清获鹿县使用的双轮盘陶轮比较特殊,木质上轮盘(直径43厘米)与石质下轮盘(直径62厘米)之间间距极小,上轮盘较轻,依靠下轮盘获得较大的转动惯量。(图六:1)石质轮盘上有一凹槽,陶工将木棍插入凹槽后推动下轮盘旋转从而带动上轮盘转动,陶工使用双手拉坯,主要用于制作大型的圆形器物[55]。

柴尔德认为双轮盘陶轮约在3000BC出现,略晚于单轮盘陶轮(3250±250BC)[56],中国新石器时代晚期及末期的考古遗存中尚未出土明确的单轮盘或双轮盘快轮。李文杰先生提出,中国新石器时代晚期偏晚阶段(5300BP),快轮制陶工艺在黄河下游地区的大汶口文化中期偏晚遗址(如山东曲阜西夏侯遗址)、长江中游地区的大溪文化晚期遗址(如湖北枝江关庙山遗址)、长江下游崧泽文化晚期遗址(如上海青浦崧泽遗址、青浦福泉山遗址)中独立起源和发展[57]。栾丰实先生认为距今5000年前的仰韶文化晚期出现了快轮拉坯成型技术,其所使用的陶轮转速快,陶器成型效率高,所制作的陶器器形规整,壁薄匀称[58]。中国陶轮出现、发展与传播轨迹尚未明了,此源于考古遗址中少见陶轮装置的报道,也源于陶轮拉坯工艺研究亟待深入。上文提到,仅依靠肉眼观察,慢轮盘筑拉坯与快轮拉坯所产生的制作痕迹十分相近,难以辨别。唯有通过大量实验考古实践细化轮制工艺的技术细节与制作痕迹研究,并通过对各遗址陶器深入细致的制陶工艺分析,才能逐渐架构东亚陶轮装置的演进历程,并对欧亚大陆东西方转动装置及与之对应的制陶工艺开展对比研究,了解相互间的异同与影响。
四、余论
陶器制作中所使用的转动装置包括无轴转盘及有轴的慢轮和快轮,从现有考古与民族志材料可知,转动装置经历了由无轴转盘向有轴慢轮最后向多形态快轮转变的结构优化历程。在性能上,除提高了转动速度之外,同时改良了施力方式、提升了陶轮的稳定性及维持转动动能的能力。整体而言,陶轮结构优化的重点在于轮盘的设计及轮盘与中轴的衔接,在保证可操作性的前提下,实现以较小初始力的投入获得轮盘在较长时间内高速平稳的转动运动。由于考古遗址中完整的陶轮遗物比较少见,史前陶轮结构的复原多依靠民族志材料的支撑,因此,陶轮演化进程的研究仍有许多空白,不排除慢轮与快轮之间存在过渡形态的可能性,陶轮的演进也可能并非是简单的单线进化模式。
慢轮最早用于陶器的修整而非盘筑拉坯,慢轮的出现并未有效提高陶器的生产效率,在美索不达米亚与黎凡特南部地区更多反映出一种等级化的生产模式,而中国的情况尚不清晰,慢轮修坯工艺与盘筑拉坯工艺的起源与发展、慢轮向快轮的演变过程亟需更多的考古材料来填充。快轮拉坯工艺的出现适应了陶器大规模生产的需要,促进了陶器的生产效率和产量,在中国考古学遗存中表现为墓葬及居址中出土陶器数量的显著提高[59]。虽然在中国龙山晚期及末期大量陶器器表观察到快轮制作的痕迹,但对于所使用快轮的类别、结构、性能,各类快轮的分布范围、演变特点及所生产的陶器器类与这些陶器在日常生活及宗教礼仪活动中的功能等问题,仍有待大量深入的案例研究。此外需特别注意,陶轮的使用并非制陶手工业“命定”的技术发展方向,各地区制陶工艺的选择基于陶器实际生产的需要,根源于当地的文化传统、生活习惯及与其他地区的文化交流。因此,在承认各地区陶轮发展不平衡的前提下,也应认识到陶轮结构的先进性并不能完全代表制陶技术的全方位领先,使用慢轮的族群在技术层面上并非完全逊于使用快轮的群体。拉坯工艺在陶器器形上有很多局限,快轮的出现并不意味着其他成型方式的消失,如捏制法、泥条筑成法、模制法等在快轮拉坯技术十分成熟的近现代也存在广泛的生存空间,此源于不同的成型方法适合制作的陶器器类与器形的不同。
注释
[1]工艺technology包括了方法method及技术technique。参见,“AnIntroductiontoFlintworking,”(1972).
[2]李文杰.关于快轮制陶的新概念、新判断和新理论[J].文物春秋,2016(4);彭小军.史前陶器成型技术类型的分布与演变[J].江汉考古,2021(1).
[3],“ThePotter'sWheel:AnAnalysisofIdeaandArtifactinInvention,”SouthwesternJournalofAnthropology15(2)(1959):109.
[4],CeramicsandSociety:ATechnologicalApproachtoArchaeologicalAssemblages(Springer,2019),;,(2009).“RevisitingtheHistoryofthePotter'sWheelintheSouthernLevant,”Levant,41(2009):155–173.
[5],“TheArchaeologicalStudyofInnovation:AnExperimentalApproachtothePotteryWheelinBronzeAgeCreteandCyprus”(PhDdiss.,UniversityofExeter,2011),
[6],“RotaryMotion,”inAHistoryofTechnology,:FromEarlyTimestoFallofAncientEmpires,,,(Oxford:AttheClaronPress;NewYork:OxfordUniversityPress,1954),
[7]李文杰.中国古代的轮轴机械制陶[J].文物春秋,2007(6);李文杰.关于快轮制陶的新概念、新判断和新理论[J].文物春秋,2016(4).
[8][31][52][58]栾丰实.海岱龙山文化的陶器成型技术研究[C]//栾丰实考古文集(三).北京:文物出版社,2017:1076-1077.
[9],“SomeMinoanPotter',”(PresentedtoSirArthurEvansinHonourofHis75thBirthday,1927);,“RotaryMotion,”inAHistoryofTechnology,:FromEarlyTimestoFallofAncientEmpires,,,(Oxford:AttheClaronPress;NewYork:OxfordUniversityPress,1954),;,“ThePotter'sWheel:AnAnalysisofIdeaandArtifactinInvention,”(1959):109;,MinoanCrafts:ToolsandTechniques:AnIntroduction(Goteborg,1993).
[10]一次性拉坯工艺要求的陶轮转速尚未有定论,柴尔德认为100转/分,卢克斯认为应达到220转/分。
[11]在中文文献或俗语中,陶轮有辘轳车、辘轳、辘辘、陶车、轮车、拉坯车、坯车、盘车、陶钧、轮盘、轮子等称谓。下文中不再使用转盘,一应以慢轮代称。
[12]此处默认轮盘在使用过程中不发生形变,内部质点无相对位移。
[13],“TheArchaeologicalStudyofInnovation:AnExperimentalApproachtothePotteryWheelinBronzeAgeCreteandCyprus”(PhDdiss.,UniversityofExeter,2011),;尹国盛,张伟风主编.大学物理学(上)[M].武汉:华中科技大学出版社,2021.
[14][15][16]尹国盛,张伟风主编.大学物理学(上)[M].武汉:华中科技大学出版社,2021.
[17]轮盘半径通常小于陶工手臂长度。
[18]本文中的轴承为广义轴承,任何有意识地处理轴与轮盘接触面的独立或非独立装置且可实现一次性拉坯成型工艺者皆可纳入轴承范畴。
[19],“IdentificationofWheel-FashioningMethods:TechnologicalAnalysisof4th-3rdMillenniumBCOrientalCeramics,”JournalofArchaeologicalScience,25.8(1998):747-763;,“RevisitingtheHistoryofthePotter'sWheelintheSouthernLevant,”Levant41(2009):155–173;,“TechnologicalInnovationsandDevelopmentalTrajectories:SocialFactorsasEvolutionaryForces,”,'(Cambridge,MassachusettsandLondon,England:theMITPress,2010),–234.
[20],,“IdentificationofWheelThrowingontheBasisofCeramicSurfaceFeaturesandMicrofabrics,”JournalofArchaeologicalScience,22.1(1995):17-50;,“IdentificationofWheel-FashioningMethods:TechnologicalAnalysisof4th–3rdMillenniumBCOrientalCeramics,”JournalofArchaeologicalScience,25.8(1998):747-763.
[21][27],,,Proto-UrbanismintheLate5thMillenniumBC:SurveyandExcavationsatKhirbatal-Fakhar(Hamoukar),NortheastSyria,”Palé(2011):151–175.
[22][23],“TheInnovationofthePotter'sWheel:AComparativePerspectiveBetweenMesopotamiaandtheSouthernLevant,”(2016):236-253.
[24],“:APerspectivefromaSmallRuralSite,”Publicationsdel'InstitutFrançaisd’É(2012):129-161;,“CobaBowls,Mass-ProductionandSocialChangeinPost-UbaidTimes,”Publicationsdel’InstitutFrançaisd'É(2012):393-416.
[25],,,áñ,“QarassaNorthTell,SouthernSyria:,”Palé(2015):153–76.,“IdentifyingSocialEntitiesataMacro-RegionalLevel:ChalcolithicCeramicsofSouthLevantasaCaseStudy,”inPotteryManufacturingProcesses:ReconstructionandInterpretation,,(Oxford:BritishArchaeologicalReportInternationalSeries,2005),
[26],“EvolutionaryTrajectoriesofTechnologicalTraitsandCulturalTransmission:AQualitativeApproachtotheEmergenceandDisappearanceoftheCeramicWheel-FashioningTechniqueintheSouthernLevantDuringtheFifthtoThirdMillenniaBC,”(2007):82-104.
[27],,,“Proto-UrbanismintheLate5thMillenniumBC:SurveyandExcavationsatKhirbatal-Fakhar(Hamoukar),NortheastSyria,”Palé(2011):151–75.
[28][29],“RevisitingtheHistoryofthePotter'sWheelintheSouthernLevant,”Levant41(2009):155–173.
[30]浙江省文物考古研究所,萧山博物馆编.浦阳江流域考古报告之一:跨湖桥[M].北京:文物出版社,2004:209-211、336.
[32]禚振西.我国制陶转盘的起源及早期的应用[J].考古与文物,1989(4);李仰松.仰韶文化慢轮制陶技术的研究[J].考古,1990(12);李文杰.中国古代轮轴机械制陶[J].文物春秋,2007(6);杨莉.云南民间制陶技术的调查研究[J].中央民族大学学报,2002(3);江柏毅.试论云南石寨山文化同心圆纹陶盘的功能与玉溪刺桐关遗址的性质[J].南方民族考古,2017(2).
[33]彭小军.“泥条拉坯成型技术”读识[C]//三代考古(四).北京:科学出版社,2011:464;彭小军.史前陶器成型技术类型的分布与演变[J].江汉考古,2021(1);付永旭.巩义制陶技术的民族学考察及思考[C]//仰韶和她的时代——纪念仰韶文化发现90周年国际学术研讨会论文集.北京:文物出版社,2014;于洁.试论轮制陶器技术及其特点[J].南方文物,2015(4);陆斌.西南少数民族泥条盘筑成型工艺考察[J].陶瓷学报,2013(4);陆青玉.关于轮制陶器的再思考[J].黄河·黄土·黄种人,2021(6).
[34]彭小军.史前陶器成型技术类型的分布与演变[J].江汉考古,2021(1);马清林,李现.甘肃古代各文化时期制陶工艺研究[J].考古,1991(3).
[35]曹迎昕.焦家遗址大汶口文化陶器的制作工艺与生产方式研究[D].山东大学硕士学位论文,2018;范黛华,栾丰实,方辉等.山东日照市两城镇龙山文化陶器的初步研究[J].考古,2005(8);丁公遗址陶器制作工艺分析见陆青玉.关于轮制陶器的再思考[J].黄河·黄土·黄种人,2021(6).
[36][39]彭小军.“泥条拉坯成型技术”读识[C]//三代考古(四).北京:科学出版社,2011:464.[37]林声.云南傣族制陶技术调查[J].考古,1965(12).
[38],“RotaryMotion,”inAHistoryofTechnology,:FromEarlyTimestoFallofAncientEmpires,,,(Oxford:AttheClaronPress;NewYork:OxfordUniversityPress,1954),
[40]付永旭.广西靖西龙腾中屯壮族的原始制陶技术[J].南方文物,2011(3);王志俊,刘晓红,高强.西双版纳勐海县曼海寨傣族原始制陶术的考察与初步研究[J].史前研究,1998;彭小军.“泥条拉坯成型技术”读识[C]//三代考古(四).北京:科学出版社,2011:464.
[41]彭小军.“泥条拉坯成型技术”读识[C]//三代考古(四).北京:科学出版社,2011:464;彭小军.史前陶器成型技术类型的分布与演变[J].江汉考古,2021(1);陆青玉.关于轮制陶器的再思考[J].黄河·黄土·黄种人,2021(6).
[42],“IdentificationofWheel-FashioningMethods:TechnologicalAnalysisof4th-3rdMillenniumBCOrientalCeramics,”JournalofArchaeologicalScience,25.8(1998):747-763;,“TheInnovationofthePotter'sWheel:AComparativePerspectiveBetweenMesopotamiaandtheSouthernLevant,”(2016):236-253;,CeramicPetrography:TheInterpretationofArchaeologicalPotteryRelatedArtefactsinThinSection.(Oxford:ArchaeopressArchaeology,2013).
[43]《陶冶图说》与《景德镇陶録》中称轴承为机局。
[44][45],CeramicsandSociety:ATechnologicalApproachtoArchaeologicalAssemblages(Springer,2019),
[46]Saraswati,BaidyanathandNabKishoreBehura,(AnthropologicalsurveyofIndia,1966),
[47]Powell,Catherine,“TheNatureandUseofAncientEgyptianPotter'sWheels,”AmarnaReportsVI(1995):309-335.
[48]黎浩亭.景德镇陶瓷概况[M].南京:正中书局,1943.
[50]定期对陶轮进行调整与修理是保证陶器拉坯、修坯质量的前提。清唐英编撰《陶冶图说》中提到:“车如木盘,下设机局,俾旋转无滞则所拉之坯方免厚薄偏侧,故用木匠随时修治。”规模化的陶瓷作坊中,高频率使用的陶轮应具备易于更换轴承、便于观察和调整轮盘水平的结构,应纳入陶轮机械设计的考虑范畴。《景德镇陶録》与《景德镇陶图记》中做坯与利坯时所使用的陶轮,下部架空,中轴附近不填实,通过更换和调整陶轮的部分构件,降低陶轮整体的重置成本。
[51]Laufer,Berthold,,“TheBeginningsofPorcelaininChina,withaReportonaTechnicalInvestigationofAncientChinesePottery,”(1917):162,plateXI.
[53]Laufer,Berthold,,TheBeginningsofPorcelaininChina,withaReportonaTechnicalInvestigationofAncientChinesePottery,”(1917):165;Saraswati,BaidyanathandNabKishoreBehura,(AnthropologicalsurveyofIndia,1966),
[54]Laufer,Berthold,,“TheBeginningsofPorcelaininChina,withaReportonaTechnicalInvestigationofAncientChinesePottery,”(1917):165.
[55]Laufer,Berthold,,“TheBeginningsofPorcelaininChina,withaReportonaTechnicalInvestigationofAncientChinesePottery,”(1917):165,plateXII.
[56],“RotaryMotion,”inAHistoryofTechnology,:FromEarlyTimestoFallofAncientEmpires,,,(Oxford:AttheClaronPress;NewYork:OxfordUniversityPress,1954),
[57]李文杰.关于快轮制陶的新概念、新判断和新理论[J].文物春秋,2016(4).
[59],“ThePotter'sWheel:AnAnalysisofIdeaandArtifactinInvention,”SouthwesternJournalofAnthropology15(2)(1959):109;彭小军.史前陶器成型技术类型的分布与演变[J].江汉考古,2021(1).
[60]邓聪.中国最早石制轴承的功能实验考古试论——查海遗址轴承形态分析[C]//庆祝郭大顺先生八秩华诞论文集(上册).北京:文物出版社,2018:131-141.
[61]邓聪.小南山与海上玉路[N].中国文物报,2021-3-19(5).
[62]邓聪.中华文明探源与辘轳机械的发现[M]//澳门黑沙玉石作坊.澳门:澳门特别行政区民政总署文化康体部,2013.




















