油膜轴承工作原理

油膜失稳的机理

油膜力

轴颈涡动轨迹

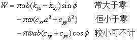
油膜力做的功

如W0,就可能会失稳。
油膜轴承的半速涡动

流入油0.5RΩ(C+e),流出油0.5RΩ(C-e)。
故多余的油为RΩe。
如轴颈绕O作角速度为ω的涡动,就留出空间2Rωe。
为维持流量平衡,就有2Rωe=RΩe。
得ω=0.5Ω,是为半速涡动。
半速涡动的运动形态

公转(涡动)速度ω为自转速度Ω的一半。
转子上轴向的各纤维受交变力,交变的频率为Ω-ω。
油膜振荡的发生

突发性:到达阈速Ωt时,突然发生。阈速大于2倍固有频率。
破坏性:振幅一般很大。涡动频率锁住在ωc;低周正向进动,轴纤维受交变应力。
惯性:消失滞后于发生。
从油膜涡动到油膜振荡

油膜涡动波形和轴心轨迹
涡动频率约为转子转速的一半,并随转速变化。
涡动方向为正向进动。轴心轨迹出现双内环。
涡动的幅度并不很大。
油膜振荡波形和轴心轨迹
到达阈速时突然发生,幅度一般很大。
涡动频率锁定在转子的固有频率,不再随转速变化。
涡动方向为正向进动,轴心轨迹为多重椭圆。
一旦发生不易消失,有惯性效应。
油膜振荡的防治措施
临时措施:
增加油温。
更换粘度较低的油。
减小轴承的宽度,以增加比压。
抬高失稳轴承的标高,增加轴承的负载。
减小轴承的间隙。
根本措施:
改变轴瓦的结构。增加预负荷,开油槽,改变供油方式等。
改用稳定性较好的轴承,圆瓦—椭圆瓦—多油叶瓦—多油楔瓦—可倾瓦。
改变转子结构,将其临界转速提高到工作转速的一半以上。




















