“太长不看”版
等离子体在稀薄物质里的电导率可以说是无敌,但是其导电性能跟金属比还是差得远。
“想搞搞清楚”版

等离子体(又称电浆)是在固态、液态和气态以外的第四大物质状态,其特性与前三者截然不同。主要表现为其运动性质受到电磁场的主导。
宇宙中99.99%的空间充满等离子体,所以,认识等离子体,就等于认识我们所在宇宙的99.99%。
由地球表面向外,等离子体是几乎所有可见物质的存在形式,大气外侧的电离层、日地空间的太阳风、太阳日冕、太阳内部、星际空间、星云及星团,毫无例外的都是等离子体。

随着科技的发展,人造的等离子体也越来越多地出现在我们的周围。比如日常生活中:日光灯、电弧、等离子体显示屏、臭氧发生器。以及工业应用中:等离子体刻蚀、镀膜、表面改性、喷涂、烧结、冶炼、加热、有害物处理。还有高技术应用:托卡马克、惯性约束聚变、氢弹、高功率微波器件、离子源、强流束、飞行器鞘套与尾迹等等。
等离子体的应用非常广泛,而且,等离子体是电离的,意味着其内部包含自由电子,就像金属和导电溶液一样,这就很让人联想它是不是能被作为输电设备。
输电介质有一个通用的标准来衡量性能:导电率和电阻率,实质上这两个系数互为倒数,电阻率越小电导率就越大,材料就越适合输电。
这个东西就像小学生的期末考试,本科生的GPA,研究生的Paper一样。是个硬性指标。
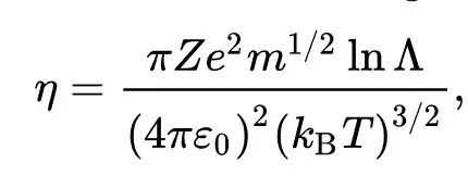
在等离子体物理中,对于电阻率也有非常广泛的研究,其中有广泛应用的Spitzer电阻率:

(公式1)
这个理论公式是1950s提出的,直到今天还有很广泛的应用。
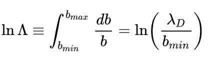
公式中的

是库伦对数,表征等离子体中的碰撞

其中最小作用程的取法不同研究中不大一样,但大部分理论研究中都是用库伦对数表征等离子体中的碰撞的。
公式(1)中可以直观的给出这样的规律,碰撞越多(库伦对数大),电阻率就越大。温度越高(电离度越高),电阻率越小。
所以最理想的状况就是,碰撞非常非常少,也就是高度真空,温度非常非常高,达到完全电离。这种情况下电阻率会很小。
实际测量中,在1e20cm^-3的真空度下,大约20000度的温度下,等离子体的电导率大概是10^4S/m:

而常见的金属的导电率:

看电阻率天梯段位不说黄金和青铜了,简直是废铁都不如。
为什么等离子体会给我们一种,它电导率很高的感觉呢?
甚至是在很多计算中,我们都是考虑理想导体等离子体,也就是使用完全没有电阻的等离子体。
核心问题就是碰撞
在金属导体中,电子在很多离子中穿梭(黄线是运动轨迹)

能影响电子运动的主要因素是碰撞。电子在金属这种到处都是原子核的物质中的碰撞频率非常高,碰撞自由程很短,两次碰撞之间电子走的路程可以近似成直线,电阻主要就是来自于电子和离子之间的碰撞。
而在稀薄的等离子体中,能影响电子运动的除了碰撞还有电磁场(黄线是运动轨迹,灰线是磁场)
在计算中所使用的这种无电阻假设并不代表等离子体就是超导的,相反,等离子体电阻跟金属比还是很大的。只是在金属中产生电阻的因素【碰撞频率】在等离子体中很小。
总结
等离子体相比于空气是导体,但是导电率远不及金属,而且需要高温电离抽真空等工序,维持等离子体成本非常高。
所以,虽然在大部分理论研究中,等离子体被认为是“理想导体”。它离能被用作输电线路还有很长的路要走。
参考资料:
Cohen,RobertS.;Spitzer,Jr.,Lyman;,Paul(October1950)."TheElectricalConductivityofanIonizedGas".(2):230–238.doi:10.1103/
Haun,Jensamp;Kunze,H.-Jamp;Kosse,Samp;Schlanges,Mamp;Redmer,R.(2002).Electricalconductivityofnonidealcarbonandzincplasmas:,Statistical,nonlinear,/
撰稿:张沛锦
美编:李莹
编辑:QuantaYuan
近期热门文章Top10
1.首届黑洞PS大赛来袭!为了这张「高糊」的图,中国科学家做出了啥贡献?
2.物理学四大神兽,除了“薛定谔的猫”还有谁?
3.地下多大的金矿才能影响到单摆实验?|
4.为什么用木棍打衣服就可以洗干净衣服?|
5.为了替你出气,我们给讨厌的杨柳絮来个「以暴制暴」
6.玩扫雷还有什么技巧?科学家的玩游戏方法你绝对想不到
7.在我国,没有任何一张地图能告诉你你的真实位置
8.在客户鱼嘴里提供服务的小清洁虾、清洁鱼,是怎么知道自己不会被吃掉的呢?
9.你以为土拨鼠只会尖叫?其实它可能正在骂你
10.你知道为了测博尔特的速度,我们有多努力嘛?




















