北极:本篇内容为矿山生态修复中的新技术探讨。
1
仿自然地貌修复技术
(一)人工地貌
通常,在矿山开采破坏前,矿区原本的经过10年乃至百年自然形成的自然生态系统遭受破坏,继而促使了矿山地质环境生态修复的发生。矿山地质环境生态修复远远不可能使其完全恢复原本的状态,事实上,更多的时候它是人为地重建一个人工生态系统,这也是生态重建的名词在土地复垦中被广泛使用的原因。
人工生态系统是指经过人类干预和改造后形成的生态系统,其易受人类社会的强烈干预和影响,且不稳定,易受各种环境因素的影响,并随人类活动而发生变化,自我调节能力差,并且系统本身不能自给自足,依赖于外系统,并受外部的调控。同时,生态系统运行的目的不是为维持自身的平衡,而是为满足人类的需要。所以人工生态系统是由自然环境(包括生物和非生物因素)、社会环境(包括政治、经济、法律等)和人类(包括生活和生产活动)三部分组成的网络结构。人类在系统中既是消费者又是主宰者,人类的生产、生活活动必须遵循生态规律和经济规律,才能维持系统的稳定和发展。
典型的矿区人工恢复地貌如经过人工重建的绿化煤矸石山、大型堆砌排土场等,其往往具有较重的人工痕迹,形状规则布局过于工整,且花费较大,但不易保持。人工生态系统需要长期的维护,在矿区尺度上,对于全国大量的大面积矿区来说,这种人工生态系统并不是最佳的选择。
(二)景观表征
对于矿山开采破坏景观的具体评价,现有研究通常通过分形理论或景观指数来表征。分形理论大多应用于对宏观大尺度的地形和微观尺度的土壤颗粒分布进行表征,通过单一分维数表征地形复杂程度,如河道地貌(朱嘉伟等,2005)、土地利用结构(赵晋宝,2014)、侵蚀冲沟等;通过多重分形谱表征地形的变异特征,如土壤粒径分布规律(王金满等,2014)等。但分形理论对于露天煤矿排土场等中小尺度的受损土地景观表征研究相对较少(张莉等,2016)。
另一种表示法为景观指数。利用景观指数可以表征矿区土地景现破碎化程度,其连接性与异质性、结构、空间排列等。其主要使用指数包括:分维数、多样性、优势度、斑块数目、景观类型面积比例、景观形状指数、蔓延度、破碎度、香农多样性指数与香农均匀度指数、分离度、均匀度等(毕如田等,2007;李幸丽等,2009;万越,2015;张前进等,2006;韩武波等,2012),其表征意义可查阅相关参考文献。
(三)景观重塑与再造
由于矿山开采活动形成的人造景观与周围原有景观不协调,景观连接性差,造成生态系统的不和谐,导致了一系列生态问题,由此就衍生出仿自然地貌理论(张莉等,2016)。仿自然地面要求复垦后地形与当地自然景观相协调,统筹保护土壤、水源和环境质量,复垦土地应当达到当地原有的可持续发展的景观生态环境水平。
仿自然地貌更加注重当地原有的生态系统,尽可能接近原有地貌。首先是基于景观生态学,根据斑-廊-基原理、景观格局优化原理、多样性与异质性原理等,在重建过程中增大景观多样性与异质性,规划基质与斑块组成较优的景观格局。
同时,仿自然地貌注重微地形对生态系统的影响。微地形是针对地理学中巨地形和大地形而言的小尺度的地形变化,可以反映景观整体形态特征(张莉等,2016)。日本学者对丘陵地区微地形进行研究并将其分为顶坡、上边坡、谷头凹地、下边坡、麓坡、泛滥性阶地和谷床7种类型,而露天煤矿区内的微地形主要指部分区域出现的切沟、浅沟、缓台、塌陷和陡坎等(邝高明等,2012)。其注重坡面、坡向、坡度对微地形的影响,据此对微地形改造,对土壤属性和微生境、降雨入渗和水蚀过程、植被恢复的效果及其生态服务功能等均有重要影响(卫伟等,2013),可以通过调节排土场边坡,继而构造出适宜的微地形,改善植被立地条件,预防水土流失和阻止水土侵蚀,改善土壤有机质和调节矿区小气候条件。
仿自然地貌更多的参考原地貌形态与景观、自然地貌形态特征。仿照自然地貌的设计能使重建和再造的土地景观更具协调性和稳定性,生态结构更加合理,视觉效果和经济型均有所提高。例如,我国山西平朔露天煤矿的排土场地貌在重塑时便运用该理论,仿照黄土高原丘陵山地的层层梯田,设计出相对高差一般为100~150米,平台与边坡相间分布的景观格局,达到人工景观与自然景观相互协调的效果(陈晓辉,2015)。煤矿区周围临近成熟的、未扰动的地貌,同样可以为复垦区地貌设计提供便利,建设自然式缓坡地与自然河道可减少研究区地表侵蚀及水土流失的可能性(胡振琪,1997)。
2
边采边复技术
(一)边采边复的概念产生与发展
一种较为直接的看法认为,矿山地质环境生态修复是采矿的一部分。显然,采矿是复垦的源头,是生态修复的驱动因素,没有采矿并不会产生矿山地质生态环境修复问题。复垦为采矿的破坏结果提供解决方案,它作为“采矿-生态”平衡的一个重要手段出现在采矿过程中,并不应当只是闭矿后的补救措施。事实上,提早展开复垦或采复一体化给矿山地质环境生态修复带来了额外的收益。这种看法最早源于20世纪70年代美国学者在露天采矿过程中应用的理念。1973年,美国内务部组织编写的露天矿边采边复技术培训手册明确写有露天矿开采过程中复垦步骤的详细规范,1977年颁布的联邦采矿与复垦法中也明确要求采矿与复垦同步。这种理念是较先进的生态修复理念。
在我国,系统论述边采边复思想的时期较晚,由于我国多是井工开采,与露天开采的差异限制了国外采复一体化经验的引入,其理念与技术并不能较好地应用于国内。1992年平顶山矿务局首次施用了类似“超前复垦”的相关技术,对矿区即将沉陷的土地开挖水渠、降低潜水位,使沉陷后的土地不因高潜水位积水,如董祥林(2002)。之后,赵艳玲等(2008)、肖武等(2013)拓展了结合开采沉陷规律的动态预复垦。2013年,胡振琪等提出了边开采边复垦的概念,探讨了边采边复的内涵与关键技术(胡振琪等,2013a,2013b)。至今,边采边复研究仍然是土地复垦的重要问题。
(二)边采边复理念与概念的定义
边开采边修复技术概念是采复一体化的体现。事实上,边采边复就是采复一体化的另一种说法,是充分考虑矿山开采与地面复垦措施耦合,规划开采措施、优选复垦时机与方案的一种思想(肖武,2012)。
边开采边修复强调开采工艺与修复工艺的充分结合,以保证按采矿计划同步进行。其基本特征是以“采矿与修复的充分有效结合,也即采矿修复一体化”为核心,以“边采矿,边修复”为特点,以“提高土地恢复率、缩短修复周期、增加修复效益”为表征,并以“实现矿区土地资源的可持续利用及矿区可持续发展”为终极目标。
边开采边修复的基本内涵为地下采矿与地面修复的有机耦合:一方面,基于既定的采矿计划,在土地沉陷发生之前或已发生但未稳定之前,通过选择适宜的修复时机和科学的修复工程技术,实现恢复土地率高、修复成本低和修复后经济效益、生态效益最大化;另一方面,通过优选采矿位置、采区和工作面的布设方式、开采工艺和地面修复措施,实现土地恢复率高和地表损伤及修复成本的最小化。
预复垦、超前复垦、动态复垦与边开采边修复既有联系,又有区别。预复垦、超前复垦和动态复垦往往仅针对一个采煤工作面或采区进行探讨,且主要是考虑既定采矿计划前提下的复垦措施,而边开采边修复技术从整个矿山开采过程的角度出发,不仅提出何时、何地、如何修复,而且指导整个采矿生产,是地上和地下措施的有机耦合。因此,边开采边修复的概念和内涵比预复垦、超前复垦和动态复垦的更大、更深刻,但预复垦、超前复垦和动态复垦的已有研究为开展边开采边修复研究奠定了基础,也是边开采边修复技术体系的重要组成部分。现阶段边开采边修复主要还是基于井下采矿工艺和时序进行的修复方案的优选,未来将逐渐过渡到井下采矿与井上修复的同步进行。
(三)露天采矿边采边复
1.基本流程
1)剥离表土。在开釆第i条带前,用推土机超前剥离表土并推存于开釆掘进的通道上。一般剥离厚度为20~30厘米,同时也应超前剥离2~3个条带,即第i+1,i+2,i+3条带。
2)在第i条带的下部较坚硬岩石上打眼放炮。
3)用巨大的剥离铲剥离经步骤2)疏松的第i条带的下部较坚硬岩石,并堆放在内侧的釆空区上(即第i-1条带上)。
4)用可与剥离铲在矿坑内交叉移动的大斗轮挖掘机(BWE),挖掘第i+1条带上部较松软的土层(B和C层土),并覆盖在第i-1条带内经步骤3)操作而形成的新下部岩层———较硬岩层的剥离物。
5)在剥离铲剥离上覆岩层后,第i条带的煤层被暴露出来,用釆煤机械进行釆煤和运煤。
6)用推土机平整内排土场第i-1条带的复垦土壤———剥离物,就构成了以第i+1条带上部较疏松土层(B和C层土)的剥离物为心土层、以第i条带下部较硬岩层的剥离物为新下部土层的复垦土壤。
7)用铲运机回填表土并覆盖在复垦的心土上。
8)在复垦后的土地上种上植被(一般首先播种禾本科和豆科混合的草种),并喷洒秸秆覆盖层以利于水土保持和植被生长。
2.关键技术
露天矿边采边复的核心技术是土壤重构技术。土壤重构即重构土壤,是以工矿区破坏土地的土壤恢复或重建为目的,采取适当的采矿和重构技术工艺,应用工程措施及物理、化学、生物、生态措施,重新构造一个适宜的土壤剖面与土壤肥力条件以及稳定的地貌景观的方法。土壤重构所用的物料既包括土壤和土壤母质,也包括各类岩石、矸石、粉煤灰、矿渣、低品位矿石等矿山废弃物,或者是其中两项或多项的混合物,只要在较短的时间内可恢复和提高重构土壤的生产力,并改善重构土壤的环境质量,就是有效的重构材料。
对于土壤重构,动态的、有效的规划露天采矿的土壤重构方案可以缩短复垦周期,提高复垦效益。其实质是对不同重构材料,按照其材料特性,进行合理充填顺序与结构的合理规划。上述“分层剥离、交错回填”的露天边采边复正是这种思想的体现。例如常见的泥浆泵复垦,泥浆作为充填材料,营养贫瘠持水过多,且沉淀时间过长,采用分层剥离、交错回填的思想,能够极大地优化其挖土与充填顺序,为泥浆沉淀获得更多的时间,具体见参考文献(胡振琪,1997;胡振琪等,2005;郑礼全等,2008)。
(四)高潜水位井工矿区边采边复
1.基本原理
通过传统稳沉后非充填复垦和边开采边修复所恢复土地率的对比分析,阐述边开采边修复的基本原理。图3-5为下沉稳定后采用非充填复垦时土地恢复示意图,在不考虑外来土源的情况下采用挖深垫浅等措施,可在沉陷盆地的边缘区域复垦出部分土地,即A与B区。

图3-6为边开采边修复时土地恢复示意图,其中图3-6a为边开采边修复的动态过程,在土地即将沉入水中或部分沉入水中(仍存在抢救表土的可能性)时预先分层剥离部分表土与心土,交错回填至将要沉陷的区域,即图中的取土区与充填区。图3-6b为边开采边修复的最终状态,通过边开采边修复可形成最终的复垦土地区A,B,C区。可见,边开采边修复较沉陷稳定后的复垦,可多复垦出区域C,土地恢复率有较大提升。

2.关键技术
高潜水位边采边复思想的关键技术,在于动态的挖深垫浅。其中最重要的是开采沉陷的动态预计,只有掌握其塌陷的动态过程才能精准地规划边采边复时间与措施。前文曾阐述过井工开采沉陷过程的基本静态与动态特征,这里我们将简要介绍开采沉陷过程的数学建模。关于该过程的模拟一直是矿山开采沉陷学的核心问题之一,长期以来涌现出多种方法,从主断面到整个塌陷场的研究对象,从实测参数函数拟合、岩体理论模拟到相似材料模拟,研究者一直尝试提高开采沉陷预计的精度。概率积分法因算法简单、结果可靠,足以快速应对大多数开采沉陷问题,是我国目前较成熟的、应用最为广泛的预计方法之一,这里简述其下沉预计的基本模型:
(1)单元开采的下沉预计
单元是工作面的归一化无量纲表示。单元开采引起地表下沉与地表水平移动表达式为
式中:r为主要影响半径;s为开采单元横坐标,x为预计点横坐标(x-s实际为预计点到开采单元水平距离)。
(2)单工作面开采的下沉预计
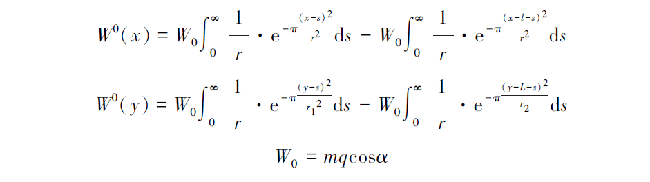
地表任意点(x,y)的下沉值W(x,y)为
其中

式中:W0(x)和W0(y)为走向和倾向有限开采时,主断面地表下沉值;W0为充分采动条件下地表最大下沉值;m为采厚;q为下沉系数;α为煤层倾角;l和L为走向和倾向有限开采时的计算长度(考虑拐点偏距后的长度);r1,r2和r分别为下山、上山和走向的主要影响半径。
(3)多工作面开采预计
(4)动态预计
动态预计通过构造合适的时间影响函数与静态下沉做乘积即可得到点位的动态下沉。时间影响函数多基于“塌陷从0开始,增长到静态下沉预计值”“单点下沉速度先增大后减小”“速度曲线连续,且关于最大下沉速度处对称”3条规律构造。
由于工作面开采并非一蹴而就,前后垮落时间为ti的两块不同单元显然在时刻t的时间影响函数值不同,动态预计过程需要离散化塌陷区段。为了方便计算,我们通常将工作面的整个垮落离散成一系列足够小的单元,分别按其静态下沉与到计算时刻的时间计算动态下沉,最后加和所有单元。
(5)复垦时机与土方
根据前述计算获得的动态下沉值,结合事先获得的数字地形图,可进行高潜水位边采边复布局。关于高潜水位边采边复的复垦时机抉择,有多种准则与实现方法,具体与实际工程条件与需要相关,具有不同的施工土方量,在此不赘述。
3
植物与微生物修复技术
自然修复在生态、水土保持等领域有大量的研究,它是指靠自然力量(营力)修复的一种过程或方法。自然营力是指自然界存在的雨、风、重力及冻融等自然界本身存在的各种生物、化学和物理等作用,如气候的变化、土壤天然种子库和种子的自然传播、土壤和植物的各种自然特性和生物化学及物理作用。
以生态系统作为研究对象,系统内部因素的作用就是自然修复(自修复),外部人工力量修复生态系统就是人工修复。人工修复和自然修复都是对已经损毁的生态环境采取的积极的修复措施。人工修复与自然修复相辅相成,要因地制宜,宜自然修复则自然修复,宜人工修复则人工修复,有主有次,主次结合。同时,自然修复是一种最高境界,即使人工修复,实现生态系统的自我维持能力才是最终目的。
在这种层面上考虑修复技术,目前已衍生出较新的修复方法,它们直接通过动植物、微生物进行矿区修复,在修复“材料”选取上与直接替换土壤、大量施肥等方法产生了区别。
(一)植物修复
植物修复是通过植物对土壤、空气等生态修复对象的修复作用来实现修复的手段。矿区废弃地的植物修复效益与恢复植物的选择密切相关,恢复植物的选择不仅要适应当地的地质、水文、土壤类型等自然条件,还要考虑因开采造成的具体污染情况,因地制宜选取植,才能对当地土壤起到较好的改良效果,生态演替效果良好。因此,矿区废弃地土壤植物修复成功的关键在于恢复植物的选择与合理的配置模式。通常情况下,使用较多的生物物种,特别是将乔、灌、草、藤多层次配置结合起来进行植被恢复,建立起的植物群落的稳定性和可持续性均比单物种或少物种的效果好得多(毕银丽,2017)。
1.常用植物种类
恢复植物的选择要适应当地的地质、水文、土壤类型等,还要考虑因开采造成的具体情况,因地制宜选取植物,对当地土壤起到较好的改良,并能进行生态演替,不同植物产生的恢复效益存在差异。
豆科植物:有较强固N能力,改善土壤肥力,克服干旱胁迫,常用作先锋植物。
盐生植物:能降低废弃地土壤盐碱的浓度,富集金属元素。
外来植物:生长迅速,生物量大,能在相应的矿区废弃地成功定居,但要预防生态入侵。
乡土植物:能更好地适应当地气候环境,在较为恶劣的生境以及简单粗放的管理条件下仍能表现出植物的生物学特性,但是生长缓慢。
耐性草本植物:覆盖率高,对根际土壤的改良效益较好,缺点在于植物单株生物量较小,恢复改良效益的时间较长。
2.植物挑选准则
现有的植物修复措施需要考虑众多因素,如植物抗逆性、生态适应性、植物多样性、先锋植物持续稳定性、乡土植物与外来植物相结合、场地的分区以及功能合理性的原则等。首先,植物需要有足够的抗逆性,只有具有一定抗逆性的植物才具有较强的生命力,在后期无人养护的条件下才能够实现自我维持。
其次,植物需要能够形成稳定的目标植物群落,达到植被恢复、生态修复的目的,其对于整个目标生态系统需要具有生态适应性,它不能是孤立于整个目标生态系统的植物类型。同时,挑选植被需要更多样。
(二)微生物修复
微生物修复技术是矿区土壤管理与改良的重要生物技术。利用微生物群落的优势,可以促进植物生长和植被覆盖,减少或避免土壤侵蚀,从而达到生态恢复的目的。微生物修复技术可以利用植物根际微生物的生命活动来改善植物营养条件,并同时促进植物生长和发育。随着植物修复和微生物修复的发展,矿区土壤的渗透性显著提高,其改善的土壤调节和地表径流转化能力,可以防止土壤侵蚀,改善河流水文条件。微生物在有机物质的分解、合成和转化,无机物质的氧化和还原过程中起着重要作用。它们是土壤生态系统代谢的重要驱动力,可以提高土壤肥力,使生土熟化,缩短复垦周期。
菌根技术是微生物复垦技术的一种应用,可以改善生态系统的多样性,促进矿区极端条件下植被的恢复,促进矿区环境的良性循环,形成互利共生的微生物,改善生态系统的多样性,加快二次生育的速度生态系统的演替,减轻根系对植物生长的影响,并施肥土壤,促进植物矿质营养。对矿区生态恢复和土地复垦吸收利用促进生态系统功能的改善具有重要的现实意义。其中,丛枝菌根真菌(AMF)是最常用也是土壤重要的微生物之一,能与80%以上的陆生植物形成互惠共生关系,提高矿区生态系统的多样性,促进生态系统功能的稳定与提高,在矿区复垦过程中得到广泛的应用。我们在此主要谈论最常用的丛枝菌根真菌修复。
1.丛枝菌根真菌帮助根系吸收
丛枝菌根真菌的菌丝非常纤细,其直径为2~7微米,可穿透土壤中有机物的颗粒间隙,吸收到根系所不能吸收到的养分与水分。其分枝伸长能力较强,增加了植物对营养的吸收范围和面积。
同时,磷在菌丝里移动的速度为在植物体内运输速率的10倍,保证将在根外吸收的磷等营养元素及时运输给植物。菌丝对磷的亲和力较高,可减少磷解吸的临界浓度,且丛枝菌根真菌释放有机酸和磷酸酶可促进土壤磷释放。
2.丛枝菌根真菌生成球囊霉素
丛枝菌根真菌能够产生一种被称为球囊霉素相关土壤蛋白(简称“球囊霉素”)的含有金属离子的专性糖蛋白,可产生于根内菌丝和伸展在根围土壤中的根外菌丝表面,在土壤生态系统中含量不低。球囊霉素可增加土壤有机碳库,增强土壤团聚体的稳定性,改善土壤结构与质量(贺学礼等,2011;黄艺等,2011)。球囊霉素一方面通过自身特点将土壤颗粒黏结在一起,达到增加土壤团聚体的目的;另一方面可间接改善土壤微环境,增加土壤中有益微生物的含量,实现退化土壤的改良。球囊霉素是丛枝菌根真菌对其寄主植物生长环境的调整和适应,是微生物活动的一种积极应答机制,已证实土壤中球囊霉素量与土壤凝结稳定性、土壤含水性呈正相关。接种丛枝菌根真菌有利于土壤水分的保持与高效运输,提高水分的利用率,有利于缓解干旱对作物生长的影响(李少朋等,2013)。采煤沉陷区土壤结构被扰动,丛枝菌根真菌如何改善土壤结构,协调水肥供应,也是生态修复需要深入探讨的问题之一。
(三)土壤动物修复
土壤动物可帮助矿区土壤肥力维持,无脊椎动物可帮助粉碎和分解动植物残体,促进了物质的淋溶、下渗,其活动与翻动作用增加了土壤中细菌和真菌活动的接触面积,加速了养分的流动,同时也混合了土壤的物质组成。另外,土壤动物采食细菌或真菌或粉碎有机物质、微生物繁殖体等,间接改变了有效营养物质的传播,并改变了微地形,从而使土壤中的水、气、热量状况和物质的转化都受到影响,继而影响微生物群落的生物量和活动。微生物修复技术、植物修复技术、工程技术与土壤动物修复相结合,更能发挥其功能,提高修复能力。
免责声明:以上内容转载自北极星环保网,所发内容不代表本平台立场。
全国能源信息平台联系电话:,邮箱:hz@,地址:北京市朝阳区金台西路2社




















