最近几日接连看到几篇谈电流速度的文章,看得眼花缭乱,今天就我了解的知识谈一谈我的观点。
讨论“电流速度”的意义在谈电流速度之前,我们首先要厘清一下电流的概念,因为对电流的不同理解,恰恰是对电流速度混乱解释的根本原因所在。
电流的定义是:“单位时间里通过导体任一横截面的电量叫做电流强度,简称电流”。

一个电流表,用于测量电流强度
有没有发现什么问题?在“电流”的定义中,它是一种度量,表示的是通过电量的多少,而不是物质运动的状态。按照这个定义,谈“电流的速度”本身就是错的!
那么我们为什么要讨论电流的速度?这是因为我们认为在电路能量是依赖物质传递的,既然物质传递能量,就存在一个传递速度。所以,这里的“电流”已经脱离了其原本的物理学定义,变成一种“物质流”了。
明白了这一点,我们对“电流速度”的讨论才能变得有意义起来。它实际上希望揭示的是电传递的本质,以及了解电荷在介质中运动的过程。
电是怎么“流动”的?说到电流,许多人会自然联想到水流,它们看起来有许多近似的地方:水管类似于电路,水压类似于电压,水量类似电量,阀门像开关,而水流速度与电流强度也有一点相像那么,水管中的水跟电路中的电子应该是一回事了。

许多人会将电流与水流对等加以理解
事实果真如此吗?
在电路中,电荷通过电荷载流子定向移动才形成电流。电荷载流子大多数情况下是电子,也可以是带正电或带负电的离子(在电解质中),又或者同时有电子和离子参与。
通常,在金属导体中的每一个原子外围都有电子围绕着原子核运动,其中有些最外层电子受原子核静电力的束缚很小,它们处于“将在外”的游荡状态,我们称之为自由电子。自由电子可以脱离原子“自由移动”,电路中的电能大部分是通过自由电子传递的。电子本身携带负电荷,电流的定义是正电荷的传递方向,因此电路中电流方向与自由电子的“运动方向”相反。

直流电路中电流的定义方向与电子运动方向相反
有些绝缘体,比如玻璃、橡胶等等,它们的分子中只有极少量的自由电子,有些甚至没有自由电子,所以它们不导电,无法形成电流。空气中的粒子彼此相距遥远,除非击穿,否则也很难形成电流。即使是金属导体内部,它们的自由电子处于随机无序的运动状态,也不会形成电流。只有在导体两端施加电场,在电场的作用下才会有电流产生。

空气不导电,闪电是强电场击穿潮湿空气造成的放电现象
载流子的漂移当在导体两端施加电压,在电场的作用下,导体内部的电荷载流子(自由电子)会沿着一定的方向发生运动,这种运动被称为“载流子漂移”。
从“漂移”这个字眼,你应该意识到,载流子的运动速度可能不快。那么载流子漂移的速度到底有多少呢?这是一个非常有趣的问题!
我们知道电子绕原子核运动的速度是极快的,它通常能接近于光速;而那些平时在原子之间随机乱窜的自由电子们(在量子力学里,电子是一种费米子),它们是以费米速度传播的,这个费米流速是1570公里/秒。

极快的运动速度使电子在原子核周围形成“电子云”
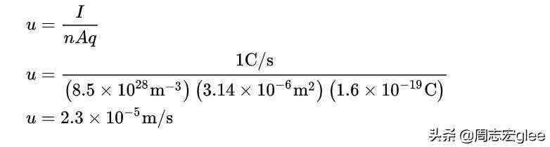
电流强度I=nAqu
其中n为电路中电荷载流子密度(每单位体积带电粒子数),A为电路横截面积,已知一个电子的电荷量是q=-1.6×10⁻¹⁹库伦,电子流动的速度为u。
我们假设在一个电线直径为2毫米(半径为0.001m)的纯铜导线电路中有1安培电流,以此计算电子在其中的速度。
导线的横截面积A=π×(0.001m)2=3.14×10⁻⁶m²
由于铜的密度为8.94g/cm³,其原子量为63.546g/mol,所以有140685.5mol/m³。按照阿伏伽德罗常量,在一摩尔的任何元素中都存在6.02×10²³个原子。因此,1m³左右的铜有8.5×10²⁸个原子(6.02×10²³×140685.5mol/m³)。每个铜原子有一个自由电子,因此n=每立方米8.5×10²⁸个电子。
我们将上述参数代入公式求电子漂移速度:

电路中电子漂移速度计算
结果是u=23μm/s,也就是说一小时电子才走了83毫米!是不是很惊喜?要知道蜗牛一小时最快可以爬8米多,它是电子漂移速度的100倍!
如果我们给这条电线通的是60Hz交流电,在半个周期内电子漂移小于0.2μm,然后在下半个周期它会再往回漂。换句话说,从你打开开关的那一刻起,流过开关中接触点的电子实际上永远不会离开开关,它始终在那里晃来晃去,导线中其它的电子也是一样地晃来晃去。
这与我们拧开水龙头看到哗哗哗地出水完全是两回事!为什么我们在按下开关的几乎同时,电灯就能亮,而电子又几乎没有离开它原来的位置呢?

不能将电流与水流相比
电流到底是什么?前面介绍过,在金属导体的内部充斥着大量自由电子,它们平时以1570公里/秒的速度在金属晶格里乱窜,由于自由电子们运动的方向不一致,因此对外不会显示出电流。
当我们在金属导体的两端通上直流电,在电场的作用下,这些自由电子沿着电场力的方向被迫向正端子冲击,从而形成电流。
导线中载流子们传递的是电磁波。金属导线就像是一个长长的牛顿摇篮(牛顿摆),其中众多的电子就是那一颗颗小球,当我们在导线两端施加电压,电子会在电场的作用下被批量激发,然后迅速将电场能量以电磁波的方式向前传递。尽管电子本身移动的幅度很小,但电磁波传递的速度是光速。因此电路中所有的自由电子会瞬间获得能量,从而形成电流,电流的强度与参与传递电子的数量相关。

牛顿摆
你可能会问,既然电子传递的是电磁波,电磁波的速度是光速,为什么电流的速度只是接近光速而非等于光速呢?
这是因为载流子在传递电磁波的过程中存在干扰波。几乎所有的金属导体都存在电阻,这与金属的纯度以及金属晶体的晶格是否排列规则相关。当电磁波穿过晶格时,它会被不规则的晶格干扰,从而使原子产生振动而发热,这就是电阻。干扰波的存在使电磁波传递的速度受到影响,从而使电流的速度只相当于光速的50%~99%。
总结电流是什么?它是电路中载流子在电压作用下对电场的传递。电场传递的速度接近于电磁波的速度,因此电流的速度非常快,它接近光速。这也就是为什么电灯会在我们按下开关的同时亮起来。
在电路中负责传递电场能量的自由电子运动速度极慢,与其说它们是在漂移,不如说它们在缓慢地挪动更合适,蜗牛爬行的速度比电子移动的速度要快多了。而在交流电路中,自由电子几乎就是在原地晃来晃去,它们不会前进半步。
蜗牛比电子漂移的速度快多了
在没有通电的情况下,电子运动的速度反倒要快得多。自由电子的费米流速达到1570公里/秒,那些围绕着原子核运动的电子,其运动速度更是接近光速。
因此,我们将电路中的电流与水管中的水流对等起来理解是错误的。
你明白了吗?




















