大家都比较熟知的50-40-10的螺栓扭矩分配原则,也就是说摩擦系数变化小,但是预紧力会变化非常大。因为螺栓头支撑面和螺纹副的扭矩占比非常大,即使很小的摩擦系数变化,对螺栓头支撑面和螺纹副扭矩影响看似不是非常大,但是会影响产生预紧力的扭矩占比,可能产生预紧力的占比因为摩擦系数的变化,产生了5%的增减,最终就会较大的影响预紧力的占比。

在摩擦系数分析和试验研究中,你是否与螺丝君一样,有以下三个方面的疑惑始终萦绕在心头呢?
1、摩擦系数与接触面积到底有没有关系?
2、摩擦系数测试中常见的50-40-10原则,为什么支撑面扭矩等于总扭矩减去螺纹扭矩?而不是螺纹扭矩等于总扭矩减去支撑面扭矩再减去产生预紧力的这部分扭矩?
3、摩擦系数测试的时候,为什么同一批螺栓螺母测试,仅仅更换头下的垫片,螺纹摩擦系数会产生变化呢?
接下来,螺丝君就上述问题进行阐述和分析,希望能够引起共鸣。如果有分析不完全正确的地方欢迎指正,入群交流。
1、摩擦系数与接触面积
我们从以前物理学等了解到摩擦系数跟接触面积等没有关系,但是,在实际工作过程中又隐隐约约感觉到摩擦系数好像跟接触面积还是有一定关系,到底实际情况是怎么样呢?
我们通过前人的理论研究,并通过试验来确定。前人经过系统的实验研究,建立了较完整的黏着摩擦理论,对于摩擦磨损研究具有重要的意义。黏着摩擦理论认为整个摩擦分为3个过程:
①摩擦表面处于塑性接触状态,实际接触面都是以接触峰点的形式存在,接触点应力达到屈服极限就会产生塑性形变,接触点就只能依靠增加接触面来承受继续增加的载荷。

②接触点摩擦过程中还可能产生瞬时高温,接触点会产生黏着,在随后摩擦的剪切力作用下,黏着点会被剪切产生滑动。
③摩擦力是黏着效应和犁沟效应产生阻力的总和,接触面中硬表面的粗糙峰在法向载荷作用下嵌入软表面中,接触面分两部分组成:
▷发生黏着效应的面积,滑动发生剪切;
▷犁沟效应作用的面积,滑动时硬峰推挤软材料。

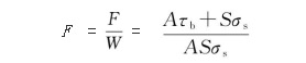
金属黏着摩擦理论中,摩擦系数f的计算公式如下:

式中:
F为接触面的剪切力;
W为接触面的正压力;
A为摩擦面实际接触面积;
τb为剪切强度极限;
S为粗糙峰在垂直面上的投影面积;
σs为屈服强度极限。
从以上摩擦过程分析可知,微观上摩擦跟接触面积是存在一定的关系,这与我们实际生活中的感觉有点接近。
例如,我们穿着一个带凸点的鞋子,如果突然某个时候,只有很小的一个凸点着地,这时候会一下子感觉被晃了一下,感觉这时候的摩擦力非常低。不知道大家是否也有这种感觉?

这也就是为什么我们螺栓连接中,衬套等处设计要有足够的面积,一方面保证不能出现压溃,同时也为了有一定足够的接触面积来产生足够大的摩擦系数。同时大家在进行结合面摩擦系数测试时候也会发现,同样的一个零件给出的压力越大,得出的摩擦系数会增大。所以在结合面摩擦系数测试时候,现在都要按照实际螺栓连接产生的预紧力来施加测试摩擦系数。
2、摩擦系数测试中为什么不是遵循所谓的50-40-10原则
根据GB/标准,摩擦系数计算中会规定可能仅仅测试其中总扭矩和一个部分扭矩,例如螺纹扭矩,然后,另外一个部分扭矩支撑面扭矩就等于总扭矩减去螺纹扭矩扭矩。
同时,大家可能也会有一定的疑惑,实测螺纹扭矩到底是仅仅的一个螺纹摩擦扭矩,还是包含了产生预紧力的扭矩?按照GB/标准来说,这个实测扭矩是包含了螺纹摩擦扭矩和产生预紧力的这部分扭矩的。
接下来请看这个标准的截图。

从这个表述上面就可以清楚的看到,实测的螺纹扭矩是包含产生预紧力的这部分扭矩的。为什么呢?我们还是来从经典的VDI2230标准中寻找答案。

从以上这个标准公式推导中是否就可以明白了,为什么螺纹扭矩包含了螺纹摩擦扭矩和产生预紧力的这部分扭矩了吧?关于实测的螺纹扭矩中是不是产生预紧力的扭矩已经作用到螺栓杆部,实际测试的扭矩应该仅仅是螺纹摩擦扭矩,这个大家可以再进行研究,也可以咨询试验机的厂家看看实际倒是测试的数据是不是应该包含了产生预紧力的这部分扭矩?
3、同一螺纹为什么更换平垫片后螺纹摩擦系数反而会不同
螺丝君试验发现,同一批螺栓螺母进行测试,仅仅把支撑面垫片从高硬度HH,低硬度HL,甚至更换成铝合金,电泳垫片,发现了一个奇特的问题,理论上分析此时螺纹摩擦系数应不会产生变化,因为大家可以认为摩擦系数是一个固定的属性,但实际上测试结果确实发现了螺纹摩擦系数也产生了变化。
下面上部分测试结果(高硬度HH和低硬度HL):


其他试验做过,发现螺纹摩擦系数差异也不算太大,没有上面这个结果差异大。

为此,螺丝君也查到相关论文,总体认为都是有这样的趋势。
该篇文章为《螺纹紧固件摩擦系数的影响因素试验研究》。

还有一篇类似的研究,结果如下:

从以上试验结果都可以看出,即使同样的螺栓螺母,仅仅改变垫片,发现螺纹摩擦系数也会有一定变化,这个如何解释,目前螺丝君还没有想到合理的解释理论。如果大家对这个问题感兴趣或有自己的见解,欢迎入群交流。





















