随着科技的不断发展,超薄快充逐渐成为现代电子设备中的常用的充电设备,充电器的功率也在不断升高,但随着充电器的功率升高,充电器的体积变得越来越臃肿,人们对于快充的体积有了新的要求,为了满足这种需求,充电器内部的各个零件也开始进行优化和改进。贴片Y电容作为电子元器件中的一种,在超薄快充领域中也发挥着重要的作用,越来越多的快充厂家意识到贴片Y电容对于充电器体积优化带来的好处。
超薄快充专用的贴片Y电容贴片Y电容是一种电子元器件,它通常被用于电路中的滤波和旁路作用。在超薄快充产品的应用中,贴片Y电容的作用主要是为电源滤波和旁路,以减少电源中的纹波和噪声,提高电源的稳定性和可靠性。同时,贴片Y电容还具有体积小、重量轻、电容量大等优点,使得它在超薄快充领域中得到了广泛应用。
以下排名不分先后,仅供阅读使用。
TRX特锐祥四川特锐祥科技股份有限公司成立于2014年,注册资本1亿元,位于绵阳市(中国科技城)游仙经济开发区,是一家专业从事被动元器件产品研发与制造的高科技企业,历史可追溯到2004年成立的深圳特锐祥电子有限公司。旗下有自主研发电容品牌:SMDTRX及DIPTY电容器,TRX致力于陶瓷材料的研究,以拓展更多品类的应用,为客户提供更多的解决方案。作为一家专业的陶瓷Y电容供应商,已在该领域深耕20年,产品也在消费类电源升级迭代的过程中获得行业认可,并在短时间内进入上百款快充充电器供应链,成为该领域的现象级爆款。
特锐祥(TRX)产品广泛应用于开关电源、LED灯饰、不间断电源、电子整流器、家电控制板、安防等等行业。自主研发与生产的专利产品SMD系列陶瓷电容器,具有体积小,性能优,自动化程度高、质量可靠性高、耐高温性好等优点,可满足SMT各种回流、波峰温度焊接工艺,具有广泛且良好的应用前景。

特锐祥(TRX)拥有现代化的标准厂房、先进的生产设备、工艺和优秀的管理团队,聚焦行业实际应用需求,用技术创新带动产品结构优化升级,保证了产品的品质和性能。建立了完善的生产与质量管理体系,通过了ISO9001质量管理体系认证、ISO14001环境管理体系认证、ISO45001职业健康安全管理体系认证、QC08000有害物质过程管理体系认证,取得了CQC、UL/CUL、VDE、ENEC、KC等安规认证。
特锐祥(TRX)始终坚持以“全员参与,持续改善,追求质量零缺陷”的企业宗旨和“求实,进取,协和,满意,以质为本,以创新求发展”的经营理念服务于客户。公司将紧跟时代步伐,以创新驱动产品升级,推动公司健康、可持续发展,致力于成为被动元件的超越者,以品质、技术、服务满足科技时代的需求。
特锐祥SMD-Y1系列特锐祥SMD-Y1贴片Y电容是塑料封装的L管脚贴片,并通过UL认证、CQC认证、ENEC认证、KC认证。具有体积小、重量轻等特色,非常适合应用于氮化镓快充这类高密度电源产品中。主要2种系列产品,分别是SMD-Y1普通系列Y电容、高容系列Y电容。

特锐祥贴片式Y电容改变传统的立式插件设计,采用芯片卧式水平的装配方式,芯片水平焊接引出端两极,模具塑胶封装电容芯片本体,可有效应用于进行贴片装配使用。大大提高了电容器的装配效率、使用范围,并节省空间,有效减少电容器本体外观尺寸误差。

以上是特锐祥SMD-Y1102K贴片Y电容产品说明书,规格书中标注了器件型号和代码定义,以及认证的信息。以这款超薄贴片Y电容为例,容量为10000pF,采用Y5V材质,误差20%。标称尺寸为10.5*9.6*2.58mm。

特锐祥SMD-Y1普通系列Y电容的详细产品线,容值在2PF-2200PF,封装代码为7854。

特锐祥SMD-Y1高容系列Y电容的详细产品线,容值在680PF-10000PF,封装代码为10596。
相关阅读:
1、特锐祥发布高容超薄贴片Y1电容
特锐祥SMD-Y2系列特锐祥的贴片Y电容具有体积小、重量轻等特色,非常适合应用于氮化镓快充这类高密度电源产品中。特锐祥自从推出了备受好评的贴片式安规Y1电容后,结合自身优势和客户需求,又推出了贴片式Y2电容和贴片式高压瓷片电容,以补足产品线,满足不同客户需求。特锐祥SMD-Y2普通系列的容值为2PF-2200PF,封装代码为4335。特锐祥SMD-Y2高容系列的容值为680PF-4700PF,封装代码为6056。

Y2类型电容常用于开关电源输入侧EMI滤波,抑制共模干扰。传统Y2电容和我们常用的插件式Y电容一样,占据的体积还是比较大的。以IQOO标配的120W氮化镓闪充为例,该款充电器使用了特锐祥四颗贴片Y电容,其中两颗型号TBY2101KB,属SMD-Y2系列,另外两颗型号TBY2331KB。得益于超薄电容的应用,有效减少产品体积,其体积相较上一代缩小了26%,重量减轻35g,实测功率密度高达1.31W/cm³,十分轻巧。

特锐祥的贴片高压瓷片陶瓷电容器尺寸与贴片Y2电容尺寸相同,仅为4.3*3.5*2.2mm。具有可靠性高、耐久性好、耐高温、抗振能力强、抗弯曲度高、焊接缺陷低、高频特性好等优点。可提供47pF到2200pF的容量,耐压从1KV到3KV均有产品,可取代插件式高压瓷片电容,满足不同开关电源应用需求。
相关阅读:
1、特锐祥推出贴片式Y2电容和贴片高压瓷片电容
展会预告四川特锐祥科技股份有限公司参加充电头网主办的2024(春季)亚洲充电展,展位号位于C区C35、36、47、48,3月20-22日欢迎莅临展会现场交流、洽谈。

精勤电子公司成立于2013年,研发总部位于深圳--深圳市快刻电子元件有限公司,惠州生产工厂—惠州精勤电子元件有限公司,于2019年投产,位于国家级开发区—惠州市仲恺高新区。本公司专业研发制造贴片压敏电阻、贴片热敏电阻、贴片安规Y电容,贴片安规X电容。
精勤致力于贴片元器件的研发,获得多项实用新型及发明专利,贴片安规双Y电容专利产品,贴片Y电容多芯片并联专利,贴片热敏电阻多芯片并联专利,贴片热敏电阻多芯片串联专利、贴片X电容专利、3只脚的贴片Y电容专利等等。

精勤已通过ISO9001:2015质量管理体系;ISO14001:2015环境管理体系,IATF16949汽车行业质量管理体系。安规认证:中国CQC、美国/加拿大CUL、德国TUV,韩国/KC,欧洲/ENEC,IEC/CB等产品安全认证,SGS环保RoHS、REACH、HF无卤环保认证。
精勤设有自己的研发中心,有专业实验室:通流雷击实验设备、组合波多次实验设备、耐压破坏性试验设备、脉冲电压试验设备、双85高温高湿实验设备、高温耐久老化实验设备、冷热冲击试验设备、盐雾试验设备、振动试验设备等等。
精勤产品已广泛应用于:LED照明电路保护、工业设备电源、开关电源、5G基站、消费电子、白色家电、汽车电子等等。
精勤本着“业精于勤”的发展思想,“合作双赢”的经营理念,以“精益求精创精品”的工匠精神,创造更小更安全的安规元件,造福社会!
精勤电子SMD-Y系列精勤电子SMD-Y系列可以满足多种应用场景的需求。它的高耐压能力、低损耗、高效率、高集成度、低成本以及良好的封装质量都使得它成为一款优秀的电子元器件。如果您正在寻找一款高性能、高可靠性的贴片Y电容,可参考一下这款精勤电子SMD-Y系列产品。

精勤SMD-1Y1XY5V222M采用单芯片封装方案,封装代号为2822,封装针脚采用海鸥脚,可以获得更小的尺寸,该产品的尺寸为7*5.6*2.4(mm),容量范围为10pf-2200pf,额定电压500V。具有较小的体积,可以方便地应用于各种移动设备和便携式设备中。

精勤SMD-1Y1X1Y5U102M同样采用单芯片封装的产品,封装代号为4524,尺寸为11.4*6*2.4(mm),封装内弯脚,爬电距离更安全,容量范围为10pf-2200pf,额定电压500V,具有较高的集成度和较低的成本,可以方便地应用于各种电子设备中,提高设备的性能和可靠性。

精勤SMD-3Y1X1Y5V472M采用双芯并联封装方案,封装代号为4524,封装针脚采用内弯脚,可以在小尺寸内塞入更高的容量,容量范围为Y5P-102K、Y5U-222M、Y5U-332M、Y5V-472M,额定电压500V,该产品的尺寸仅为11.4*6*2.4(mm),是精勤的专利产品,针对不同的应用场景可使用双Y的串联方案,满足更多设备的应用。

精勤SMD-2Y1X1Y5V102M采用双芯串联封装方案,封装代号为4524,封装针脚采用内弯脚,该双Y方案的产品可以取代设备上所需的2个贴片电容,不仅耐压值更高,还可以显著提高设备的可靠性和稳定性,减少电容器在设备运行过程中出现的故障和损坏。产品尺寸仅为11.4*6*2.4(mm),双Y的容量范围依然是10pf-2200pf,额定电压为500V。此外,该双Y方案的产品可以取代设备上所需的2个贴片电容,可以节省设备的空间和成本。

精勤推出的贴片Y电容采用了现代微电子制造技术,整体结构非常的紧凑小巧,采用了先进的封装工艺且封装材料满足UL94-V0,其阻燃性、安全性以及可靠性得到了广泛的认证,有着优越的高湿高温性能和强大的耐电压能力,可保障其在各种恶劣环境中都能稳定运行和长期使用。支持SMD料盘包装与得到各项管理体系认证,可随其他贴片元件一起自动贴片焊接,减少人工操作,实现高效、可靠、环保的生产流程。可应用在电路保护、工业设备、通讯设备、汽车电子中。
展会预告惠州精勤电子元件有限公司参加充电头网主办的2024(春季)亚洲充电展,展位号位于C区C67,3月20-22日欢迎莅临展会现场交流、洽谈。

汕头保税区松田电子科技有限公司成立于2012年,是中国专业研发生产陶瓷电容器、薄膜电容器、压敏电阻器、热敏电阻器等电子元器件的国家级高新技术企业,中国电子元件百强企业,中国电子元件行业协会常务理事单位。公司研发、生产基地汕头保税区松田科技园,厂房面积75000平方米。

公司拥有一批高素质专业技术队伍,工程技术中心被认定为“广东省阻容元件工程技术研究中心”、“汕头市阻容元件与敏感元件工程技术研究中心”。公司压敏电阻器与安规电容器2个实验室是美国UL认可实验室。公司通过ISO9001质量管理体系认证、IATF16949汽车行业质量管理体系、ISO14001环境管理体系认证。公司产品通过中国CQC、美国/加拿大UL、德国VDE、韩国KTL、欧盟ENEC、国际电工委员会CB等产品安全认证。
公司以技术、质量和服务等竞争优势获得了客户的认可,为各类整机客户电源、智能家电、照明、通讯、工业控制、新能源汽车等提供"一站式"解决方案。
STE松田电子SMD系列产品STE松田电子推出的贴片Y电容专门设计用于应对电磁干扰和射频干扰,其命名中的"Y"正是指代其在电磁兼容性方面的能力。贴片Y电容不仅能够过滤和吸收高频噪声,还可以在电子设备之间创造一个隔离层,从而防止干扰信号相互影响。

STE松田电子推出的贴片Y电容器尺寸相对较小,适合在现代电子设备中进行布局而不占用太多空间,同时相对于传统插入式电容,其制造质量和性能稳定性较高,在工业和商业应用中广泛使用。这些电容器的设计和制造也遵循严格的标准,以确保其长期的可靠性和一致性。

STE松田电子推出的安规陶瓷电容器-SMD系列的详细资料。可以看到特点拥有先进的封装工艺,封装材料满足UL94-V0;结构紧凑,体积小,节省空间;优越的高温高湿性能;强大的耐压能力;SMD料盘包装,适用于无铅回流焊/波峰焊自动贴装;符合ROHS指令、REACH指令,HF无卤。可以应用在5G快充、5G基站通讯电源、模块电源、开关电源、白色家电、LED照明、新能源充电桩、智能电表、高铁轨道交通消噪设备、电源适配器、仪器仪表等领域中。

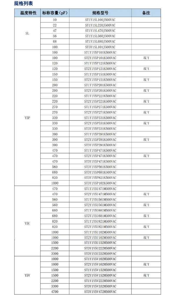
STE松田电子SMD系列产品的规格列表。
相关阅读:
1、小身材,大能量,STE松田电子推出贴片Y电容
展会预告汕头保税区松田电子科技有限公司参加充电头网主办的2024(春季)亚洲充电展,展位号位于B区B62,3月20-22日欢迎莅临展会现场交流、洽谈。

贴片Y电容在超薄快充领域中得到了广泛应用,主要应用于智能手机、平板电脑、笔记本电脑等电子设备的产品中。在这些设备中,贴片Y电容能够提供高效的滤波和旁路效果,保证电源的稳定性和可靠性,从而提高了设备的性能和使用寿命。作为电子元器件中的一种,贴片Y电容在超薄快充领域中也发挥着重要作用,可以有效减少充电器的体积,帮助厂商打造出与之相关的超薄快充产品。随着科技的不断发展,贴片Y电容也在不断进步和优化,为超薄快充产品的发展提供了有力的支持。




















