PVC压延膜广泛应用于充气玩具膜、大棚膜、人造皮革、灯箱广告膜、粮食储藏膜、防渗土工膜、包装膜、盐膜、工业用薄膜、台布膜、地板革、坑布革、防水卷材等制品中。氢氧化镁(MH)作为无机阻燃剂,具有良好的阻燃抑烟作用,经相关实验发现:采用超细氢氧化镁应用于PVC阻燃薄膜可部分替代三氧化二锑,其阻燃抑烟效果良好。为进一步探究超细氢氧化镁应用在PVC阻燃薄膜中的效果,选用超细氢氧化镁采用不同的配比协效三氧化二锑将其制备成PVC薄膜,测试其阻燃抑烟效果,同时测试了其成炭效果,为超细氢氧化镁的在PVC阻燃薄膜中的使用提供技术支持。
一:实验过程及方法
按表1配方称取原料进行配料,经充分搅拌后在双辊开炼机混炼成膜(混炼温度170℃,混炼时间10min);将混炼好的物料按一定厚度下料取膜,在小型压片机上压片(温度160℃,保压3min);将压制好的片材经自动取样器裁剪后按GB/测试氧指数、按GB/T8627-2007测试烟密度、采用SEM(SU8010型)观察成炭形貌。
表1实验配方

二:实验结果
2.1MH对PVC压延膜的阻燃性能的影响

图1MH对PVC压延膜的阻燃性能的影响
图1是MH对PVC压延膜的阻燃性能的影响。从图1可以看出,当Sb2O3用量为2份时,随着MH的添加量的增大,复合材料的LOI值逐步增大,其中MH添加量为12份时,LOI值最高;当MH的添加量为4份时,复合材料的LOI值与未替代前的复合材料LOI值一致。当Sb2O3用量为1.5份和1份时,复合材料的LOI值先下降后升高。当Sb2O3用量为1.5份时,MH的添加量达到8份时,复合材料的LOI值与未替代的复合材料基本相当。当Sb2O3用量为1份时,复合材料的LOI值下降较为明显,仅在MH添加量为12份时,复合材料的LOI值仍然低于未替代的复合材料。由此可见,采用MH部分替代三氧化二锑时,最佳配方体系为Sb2O3用量为2份、MH用量为4份,三氧化二锑的使用量要保持在1.5份以上。
2.2MH对PVC压延膜的烟气释放性能的影响

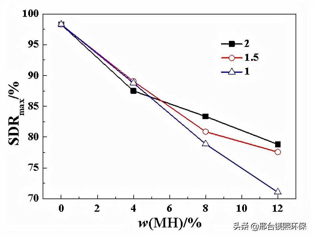
图2MH对PVC压延膜的最大烟气释放性能的影响

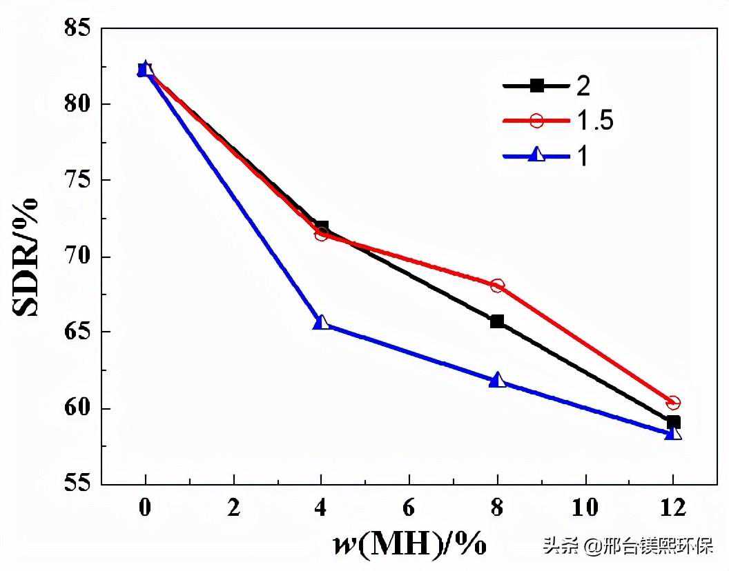
图3MH对PVC压延膜的烟密度等级的影响
图3是MH对PVC压延膜的烟密度等级的影响。可以看出,随着MH添加量的增大,烟密度等级逐步下降;在相同三氧化二锑份数的情况下,MH的增加能进一步降低烟密度等级;当MH添加量增大到12份时,烟密度等级差距变小。由此可见,MH的抑烟效果具有一定的饱和性;当MH为4份时,抑烟效果的性价比最高。
2.3残炭微观形貌分析

图4不同MH含量的PVC压延膜残炭的SEM照片
图4是不同MH含量的PVC压延膜残炭的SEM照片。从照片中可看出,只添加Sb2O3作为协效剂,残炭表面平整,没有明显的裂纹;当Sb2O3的添加量下降,相同MH添加量的情况下,残炭表面形成了更多的微球,并逐步形成更多的裂缝;同时,当Sb2O3的添加量相同的情况下,随着MH的增加,残炭表面逐渐出现裂纹,当添加量为12份时,裂纹最为明显。由此可见,MH替代部分Sb2O3后,在残炭表面形成了耐火的MgO微球,这些微球能在一定程度上提供覆盖功能,提高阻燃性能;同时,MH在燃烧过程中释放出来的水气能稀释可燃性气体和空气,并且,释放的水气过多时也会在一定程度上破坏炭层的致密性,从而降低阻燃性能。因此,从SEM照片看,Sb2O3的添加量为2份,MH添加量为4份时,残炭的致密性最佳。
三:结论
超细氢氧化镁应用在PVC压延膜中替代部分三氧化二锑具有明显的效果,当配方体系为Sb2O3用量2份、MH用量4份时;PVC压延膜的最大烟释放和烟释放等级都明显下降;残炭表面形成氧化镁微球,致密性最佳。




















