物位测量仪表按所使用的物理原理可分为直读式物位仪表、差压式物位仪表(包括压力式)、浮力式物位仪表、电测式(电阻式,电容式与电感式)物位仪表、超声式物位仪表、核辐射式物位仪表等。

直读式物位仪表
从测量机构上可直接读出液位,玻璃管(或玻璃板)液位计就是利用连通器原理,用旁通玻璃管(或玻璃板)读数。根据测量要求,有透光式和反射式等型式。
浮力式物位仪表
利用液面上的浮子或沉浸在液体中浮筒(也称沉筒)受到浮力作用而工作。这类仪表分为两种:一种是在测量过程中浮力维持不变,如浮球液位计、浮标液位计,工作时浮标随液面高低变化,通过杠杆或钢丝绳等机构将浮标位移传递出去,再经电位器、数码盘等转换为模拟或数字信号;另一种是在测量过程中浮力发生变化,如浮筒式液位计,液位改变时浮筒在液体内浸没的程度不同,所受的浮力也不同,将浮力的变化量转换成差动变压器铁芯的位移,就可输出相应的电信号,供指示、记录、报警和调节之用,也可远距离传送。

差压式物位仪表
差压式仪表利用液体的静态压力测量液位。液体底部压力与容器内的液面高度和液体表面上的气压有关。如果测量敞口容器内液位,则可用压力测量仪表或压力变送器间接测出液面高度;如果在有压力的密封容器内测量液位,则采用测量压差的方法,消除液面上压力的影响,将容器底部与差压变送器正压室相连,液面上的空间与负压室相连,就可以测量出液面的高低

电测式物位仪表
将物位变化转换为电参数(如电阻、电容、电感)的变化,再变成电信号输出。这类仪表又分为电阻式、电容式和电感式三种。
①电阻式物位仪表利用物位变化时引起电极电阻变化的原理工作(图3)。物位变化引起电阻逐渐变化的,可用于连续测量物位;只有当物位变化到接触电极时才引起电阻突变的,可用来定点报警控制物位。电阻式物位仪表在工作时电极接触被测介质(一般为导电液体),电极表面接触状况改变(如出现污垢、生锈、腐蚀等现象)会引起表面接触电阻变化,从而产生测量误差。使用时间越长,误差就越大。因此,这种仪表虽然结构简单,但应用范围不广,主要用作液位定点报警和控制,很少用于连续测量。
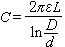
②电容式物位仪表物位变化时引起电极的电容量变化,利用这个原理构成的电容式物位计可以测量导电液和非导电液的液位、非导电颗粒状固体的料位。两同轴相互绝缘的导电金属圆柱中间隔以不导电的介质,就构成电容器,其电容量为:

式中ε为介质介电系数,L为圆筒电极的高度,D和d分别为外电极内径和内电极外径。物位变化引起ε,L,D/d变化,从而引起电容量变化。测出这个变化值就可测出物位。根据这个道理,用各种不同形状的电容测量头,可构成多种电容式物位仪表(图4)。现代电容式物位仪表采用安全防爆、隔爆的措施,应用范围已扩大到一些化工、石油、轻工部门。电容式物位仪表是电测式物位仪表中应用最广泛的一种。
③电感式物位仪表利用物位变化时引起自感量、互感量或感应电流等的变化来测定物位,常用的有感应式高频液位计或谐振式液位计。也可用带导磁材料的浮子与电磁感应线圈制成液位信号报警器。采用电感式测量可实现完全不接触测量。
超声式物位仪表
超声波在液体中传播有较好的方向性,遇到分界面时能反射,因此通过测定超声波从发射出去到反射回来的时间就能确定液面的高度。一般采用电激励使压电换能器(常用的有锆钛酸铅、铌镁酸铅、钛酸钡等压电换能器)发出声波,从液面反射回来的声脉冲经压电换能器转换为电脉冲,用计时电路测定超声波在液体中来回经过的时间,根据超声波在液体中的传播速度即可算出液面高度。声波的接受和发射可用同一个换能器,也可用两个换能器。超声式物位仪表根据声波传播的介质不同分为液介式、气介式和固介式(图5)。
利用超声物位仪表进行测量的优点是检测元件可以不与被测液体接触,因而适合于强腐蚀性、高压、有毒、高粘度液体液位的测量。此外它还不怕烟和光,不受电磁干扰,可测量各种液体的液位和粉粒状固体料位,还可用于测量两种液体界面、液位差、料位差等。固介式的测量方式能测沸腾介质的液位,允许液面波动倾侧、如测量火箭、飞机、轮船燃料仓内的液位。液介式的测量方式应用十分普遍,海水深度测量就采用这种方法。
核辐射式物位仪表
利用物质(一定物位的液体或固体)对核辐射的吸收,使射线强度减弱的原理来测量物位。核辐射能穿透较厚的钢板和其他固体,所以这类仪表可进行不接触测量,对容器不必开孔,能在强光、浓烟、高压、高温等恶劣的工作条件下对高粘度、易爆、腐蚀性强的介质进行液位测量,这是其他类型的物位仪表不能与之相比的优点。但核辐射影响人体健康,需要采取现场劳动防护措施,这在一定程度上限制了核辐射物位仪表的推广应用。

钢带浮子式液位计
直读式钢带浮子式液位计,这是一种最简单的液位计,一般只能就地显示
浮筒式液位计
浮筒式液位计属于变浮力液位计,当被测液面位置变化时,浮筒浸没体积变化,所受浮力也变化,通过测量浮力变化确定出液位的变化量。
液位高度变化与弹簧变形量成正比。弹簧变形量可用多种方法测量,既可就地指示,也可用变换器(如差动变压器)变换成电信号进行远传控制。




















