同学们大家好,今天我们继续学习杨欣的《电子设计从零开始》,这本书从基本原理出发,知识点遍及无线电通讯、仪器设计、三极管电路、集成电路、传感器、数字电路基础、单片机及应用实例,可以说是全面系统地介绍了电子设计所需的知识,是一本很好的电子设计入门书籍,没有复杂的计算,取而代之的是生动、平实的叙述。
上篇说到了光控报警器电路中电阻器部分的基础知识,今天来讲讲剩下的元器件知识。
另外,整理了一些电子工程类的资料,分享给大家,目前有模拟电路、单片机、C语言、PCB设计、电源相关、FPGA、EMC、物联网、Linux相关学习资料,还有针对大学生的资料包,后续还会有更多资料分享给大家,助力大家学习,成就梦想~
光敏电阻
上篇我们讲到电阻中有一种称为敏感电阻,其阻值会随环境某些因素影响而变化,其中光敏电阻就是敏感电阻的一种,光线越强阻值越小。
走进电子技术之电阻器
在光控报警器中,光敏电阻R是一个关键器件,它把光线强度转化成电阻阻值的变化,实现电路的光控报警。光敏电阻的原理是利用了半导体光致导电的原理,电路符号如下所示。

使用万用表也可以直接测量出光敏电阻的阻值变化,如下图所示,在暗光下,阻值为562.5Ω,在强光下,阻值为1.255MΩ,阻值的变化还是非常明显的。

光敏电阻测试图例
把光敏电阻应用在电路中,如下图电路:

光敏电阻反映光线强度
可以看到R1和R2串联分压,其中R2是光敏电阻,P点电压为:

通过计算可以发现,P点的电压和光敏电阻R2有关,就可以说P点的电压反映了光线强度的变化。
电位器
电位器是一种三端电阻,我们中学时期接触的滑动变阻器就是一种电位器,旋钮式电位器的结构如下图所示:

电位器的结构、电路符号和外观
上图中的滑片端与另两端构成了一个可调的分压器,当滑片旋转时,AP两端和PB两端的电阻发生变化,这两段电阻之和为总电阻不变。那种老式收音机上的旋钮就是电位器,如下图所示,旋钮可调节波段、频率和音量。

收音机上的音量调节电位器
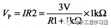
下面分析一下电位器的使用,如下最常用的分压电路:

电位器分压
图中电位器R1和电阻R2串联,那么P点电压为:

根据上式可知P点电压Vp取决于电位器R1,就是说我们调节R1就可以改变Vp。
电位器本质也是电阻,所以除了阻值参数外,还有功率和种类之分,选用时也要考虑实际功率要小于电位器额定功率,常用的电位器有转轴式和微调两种,如下图所示:

常见电位器外观
一般在使用时,转轴电位器会安装在用户面板上,用户直接参与调整;微调电位器一般都直接焊接在电路板上,用螺丝刀调节,在设备使用时一般不再调整。
数字电位器
相比于机械结构式的电位器需要手动调节、存在磨损的情况,数字电位器通过一些电路结构可实现电子控制阻值改变,其结构外观如下图所示:

X9313型数字电位器
开关
开关是我们非常熟悉的电子元器件了,它可以实现电流的通断,我们每天晚上打开的电灯、计算机的电源按钮,手机上的音量键、电源按键等,都用到了开关,如下图所示是常用的几种开关:

常用的开关
细心的同学会发现,这些开关不止有两个引脚,有的有多个引脚,像乒乓开关一般有三个管脚,如下图所示:

乒乓开关
可以看到上图中的开关有一个小拨杆,拨杆拨到左边3脚和2脚导通,拨杆拨到右边1脚和2脚导通,拨杆在中间位置时,2脚和1、3脚都处于断开状态。
其他开关也类似导通、关断的状态,只是根据应用场合不同,开关的结构会有变化,下图中的按钮开关是带锁的,说白了就是按钮按下后得再按一下,开关才会弹起来以断开电路。

带锁型按钮开关
下图所示是DIP开关,经常直接用在线路板上,可以用笔尖来拨动,使DIP开关中的某几个开关闭合或打开。

DIP开关
至此前篇说到的光控报警器电路上的元器件基础知识讲完了,下篇可以开始分析光控报警器电路了,我们下篇见。




















