泵的设计选型基本要素
(一)泵的主要性能参数
泵的性能参数主要有流量和扬程,此外还有轴功率、效率、转速和必需汽蚀裕量等。
1.流量是指单位时间内通过泵出口输出的液体量,一般采用体积流量或质量流量。泵在单位时间内,实际输送液体的体积称为泵的流量。
通常用字母Q表示。单位是:m³/h、L/s。
水泵的流量,即出水量,一般不宜选得过大,否则,增加购买水泵的费用;流量大,功率大,还会增加线路、电器控制方面的费用。应具体问题具体分析。
2.扬程是指单位重量液体流经泵以后能量的增加值,即液体在泵出口和进口的水压之差,通常用字母H表示。单位是:m。标准用:Pa、hpa、KPa、MPa。另外还有:mmhg、kgf/cm²。所谓扬程是指所需要的总扬程,而不是提水高度,这一点对选择水泵尤为重要。水泵扬程大约为提水高度的1.15~1.20倍。如:某水源到用水处的垂直高度20米,其所需扬程大约为23~24米。选择水泵时应使水泵样本(铭牌)上的扬程最好与所需扬程接近,这样的情况下,水泵的效率最高,使用会更经济。但并不一定要求绝对相等,“般偏差只要不超过20%,泵都能在较节能的情况下工作。
3.进口压力Ps和出口压力Pd,进、出口压力指泵进出口管法兰处的压力,进出口压力的大小影响到壳体的耐压和轴封的要求。
4.温度T指泵的进口介质温度,一般应给出工艺过程中泵进口介质的正常、最低和最高温度。
5.装置汽蚀余量NPSHa,也称有效汽蚀余量。
6.操作状态:分连续操作和间歇操作两种。
7.泵的性能曲线
通常把表示主要性能参数之间关系的曲线称为泵的性能曲线或特性曲线,实质上,泵性能曲线是液体在泵内运动规律的外部表现形式,通过实测求得。特性曲线包括:流量-扬程曲线(Q-H),流量-效率曲线(Q-η),流量-功率曲线(Q-N),流量-汽蚀余量曲线(Q-(NPSH)r),性能曲线的作用是泵任意的流量点,都可以在曲线上找出一组与其相对的扬程、功率、效率和汽蚀余量值,这一组参数称为工作状态,简称工况或工况点,离心泵最高效率点的工况称为最佳工况点,最佳工况点一般为设计工况点。
(二)输送介质的物理化学性能
输送介质的物理化学性能直接影响泵的性能、材料和构造,是选型时需要考虑的重要因素。介质的物理化学性能包括:介质名称、介质特性(如腐蚀性、耐腐蚀性、毒性等)、固体颗粒含量及颗粒大小、比重、密度、粘度,汽化压力等。必要时还应列出介质中的气体含量,说明介质是否易结晶。
(三)现场条件
1、现场条件包括泵的安装位置(室内、室外),环境温度,相对湿度,大气压力,大气腐蚀状况及危险区域的划分等级条件。危险区域包括:易燃、易爆、易毒、高温、高空等特殊场合。
2、其它因素:选型时要考虑场地条件的限制、工程造价、安装高度等,从而决定采用何种结构形式的泵型,如卧式泵、立式泵、液下泵、自吸泵等。

泵的选型原则
泵的选型就是根据泵的工作环境、条件,泵正常运行必需的性能参数,以及被输送介质的物理、化学性质全面地考虑泵装置系统中泵的技术性能指标、泵材质选用、电动机的匹配、密封的可靠性及节能、使用维护等综合经济指标的要求,在定型的泵产品中选择出最合适的泵类型与型号规格。
合理选泵的原则,还要综合考虑泵机组和泵站的投资和运行费用等综合性的技术经济指标,使之符合经济、安全、适用的原则。具体来说,有以下几个方面:
1.必须满足使用流量和扬程、压力、温度、汽蚀余量、吸程等工艺参数的要求,即要求泵的运行工况点(装置特性曲线与泵的性能曲线的交点)经常保持在高效区间运行,这样既省动力又不易损坏机件。
2.所选择的水泵既要体积小、重量轻、造价便宜,又要具有良好的特性和较高的效率;投资少,运行、维护费用低。是技术先进,经济合理,成熟可靠的产品,并具有较高的灵活性,既能够满足运行方式的需要。
3.具有良好的抗汽蚀性能,这样既能减小泵房的开挖深度,又不使水泵发生汽蚀,运行平稳、寿命长,可靠性高、噪声低、振动小。
4.综合考虑到初始采购费、运转费、维修费和管理费的总成本最低。
5.必须满足介质特性的要求。
①对输送易燃、易爆有毒或贵重介质的泵,要求轴封可靠或采用无泄漏泵,如磁力驱动泵、隔膜泵、屏蔽泵。
②对输送腐蚀性介质的泵,要求过流部件采用耐腐蚀性材料。A、过流零部件和轴封等应符合被输送液体的腐蚀性(pH值)要求;B、腐蚀性较强的液体过流部件应选用非金属材料制造,如:氟塑料、陶瓷、玻璃钢、石墨等;C、一般情况下,金属泵耐磨、耐压、耐高温的性能优于非金属泵,而非金属泵的耐腐蚀性能优于金属泵。
③对输送腐蚀性液体含固体颗粒介质的泵,要求过流部应选用既耐腐蚀又耐磨的金属耐腐蚀材料制造,如高硅铸铁、双相不锈钢、镍铬合金、特种合金钢等。必要时轴封应采用清洁液体冲洗。
④根据被输送液体中所含固定颗粒的大小、含量的比例来选择不同的过流部件。A、输送的液体中含固体颗粒较大、较多时,可选择无堵塞设计的过流部件泵,如旋流泵、单通道叶轮泵;B、根据被输送液体中所含的固体物的硬度、含量及腐蚀性来选择过流部件的材料。
⑤对有毒性、易燃、易爆、有异味的液体,贵重介质,无菌输送、真空输送等应符合不允许泄露的原则,要求泵的密封部分安全可靠或选择屏蔽泵、磁力泵、隔膜泵等。
⑥含有长纤维类液体:A、过流部件采用带撕裂、切割的结构,确保叶轮不被长纤维缠绕;B、选用无堵塞的通道式、开式或单叶片叶轮;C、考虑配用电动机的机械特性(过载能力等)。
⑦高温、高压类液体:过流部件选用耐高温、高压材质,可依次选球铁、铸钢、铬钢制作。A、考虑过流部件高温高压下的机械强度等性能的要求和热膨胀的情况;B、选择耐高温、高压的轴封及冷却装置。
当泵的介质特性确定后,就可以根据工艺参数和介质特性来选择具体泵的系列、结构形式和制作材料。
6.必须满足现场环境的安装要求:
①对安装在由腐蚀性气体存在场合的泵,要求采取防大气腐蚀的措施。
②对安装在室外环境温度低于-20℃以下的泵,要求考虑泵的冷脆现象,采用耐低温材料,结构型式选用筒形双壳体离心泵。
③环境噪声:对泵有低噪声的要求,要考虑选用滑动轴承结构和水力的低噪声设计,并配用低噪声的电动机。
④相对湿度:在湿度高的环境使用,应考虑泵采取防锈措施;还得考虑配用电动机的防护和绝缘等级。
⑤电网条件:容量是否足够;电网的频率情况(国内50Hz、国外60Hz以及变频使用情况);电源的交、直流;电网电压三相(380V)、单相(220V),还是异电压(包括660V以上高电压)、电源电压变化的范围;电源与泵使用地点的距离(长距离电缆输送)的电压降。
⑥对于一年检修一次的泵,泵的连续运转周期一般不应小于8000小时,应符合GB5656-2008(ISO5199)或标准。石油、石化、化工等行业要求三年检修一次的泵,应符合API610(第十版)标准规定,连续运转至少为3年。
⑦对安装在爆炸区域的泵,应根据爆炸区域等级,采用相应等级的防爆电机。
⑧对有特殊要求的使用场合,如真空输送、高温高压输送、低温输送等均应选择特殊泵类。
7.确定泵型号和制作厂时,应综合考虑泵的性能、效率质量、能耗、可靠性、安装维修及价格和制造规范等因素。选具有转速高、体积小、重量轻、效率高、流量大结构简单、输液无脉动、性能平稳、容易操作和维修方便等特点的泵。当所有参数都符合选型标准有两种以上规格时,要以综合指标高的为最终选定的型号。具体可以比较以下参数:效率高者为优,重量轻者为优,价格低者为优。
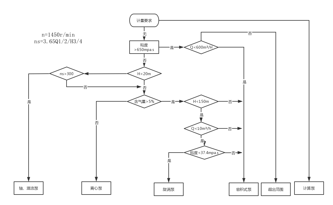
8.除以下情况外,应尽可能选用离心泵
①、有计量要求时,选用计量泵。
②、扬程要求很高,流量很小且无合适小流量高扬程离心泵可选用时,可选用往复泵;如汽蚀要求不高时也可选用旋涡泵。
③、扬程很低,流量很大时,可选用轴流泵和混流泵。
④、介质粘度较大(大于650~1000mm2/s)时,可考虑选用转子泵或往复泵(齿轮泵、螺杆泵)。
③、介质含气量大于5%,流量较小且粘度小于37.4mm2/s时,可选用旋涡泵。
⑥、对启动频繁或灌泵不便的场合,应选用具有自吸性能的泵,如自吸式离心泵、自吸式旋涡泵、气动(电动)隔膜泵。
⑦、如图示:













![[伤寒心法要诀]少阳病用柴胡汤加减法](/imgs/baidou-v2/upload/default/19F5C4CFC.jpg)







