北极:目前国内尚无开放对射式可燃气体检测报警器的相关计量检定规程或校准规范,本文在结合该类设备测量原理基础和实践的基础上,参照JJG693-2011《可燃气体检测报警器检定规程》,初步探索了开放对射式可燃气体检测报警器的校准方法。
一、概述
开放对射式可燃气体检测报警器由发射端和接收端两部分组成,发射端和接收端按轴线安装拉开一定距离,形成一个监测区域。发射端由氙灯发出红外光谱,并经过加密调制,形成具有独特波形脉冲的红外光谱,当监测区域有可燃气体泄漏时,将会对特征波长红外光谱产生吸收,且红外光谱吸收强度与可燃气体浓度成正比,接收端接收到红外光谱光强度的衰减情况后,通过光电模块的处理,最后显示出可燃气体的浓度。开放对射式可燃气体检测报警器的浓度单位为%LEL·m,即气体浓度%LEL×发射端到接收端的距离(m)。
二、校准用设备及方法
1.校准用设备
可燃气体标准管1套(共4件,标称值分别为0%LEL·m、10%LEL·m、40%LEL·m、60%LEL·m);电子秒表。
2.校准方法
(1)仪器示值误差
仪器通电预热稳定后,先用0%LEL·m的可燃气体标准管调整仪器零点,然后依次将10%LEL·m、40%LEL·m、60%LEL·m浓度的可燃气体标准管放入设备光路中,读取仪器稳定示值,每点重复测量3次,按式(1)计算每点的示值误差,取绝对值最大的为仪器示值误差。
式中:———仪器示值的算数平均值,%LEL·m;C0———可燃气体标准浓度值,%LEL·m;R———仪器满量程,%LEL·m。
(2)仪器重复性
仪器调整零点后,将40%LEL·m浓度的可燃气体标准管放入设备光路中,记录仪器稳定示值Ci,撤去可燃气体标准管,在相同条件下重复上述操作6次,按式(2)计算重复性。
式中:sr———单次测量的相对标准偏差;———6次测量的平均值,%LEL·m;Ci———第i次的测量值,%LEL·m。
(3)响应时间
仪器在零点时,将标称值为60%LEL·m浓度的可燃气体标准管放入光路中,待示值稳定后,读取仪器示值,撤去标准装置,仪器回零后,再将60%LEL·m浓度的可燃气体标准管放入光路中,同时启动秒表,待仪器显示值到达稳定示值的90%时停止计时,记录秒表读数,重复测量3次,取3次测量结果的算术平均值作为仪器的响应时间。
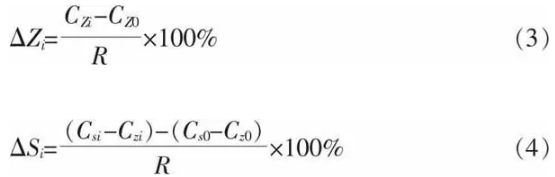
(4)仪器漂移
仪器的漂移包括零点漂移和量程漂移。
仪器调好零点后,记录仪器显示值Z0,然后放入60%LEL·m浓度的可燃气体标准管,待读数稳定后,记录仪器示值S0,撤去可燃气体标准管,每间隔1h重复上述步骤一次,连续运行6h,同时记录仪器显示值Zi和Si,按式(3)和式(4)分别计算零点漂移和量程漂移。

式中:ΔZi———仪器的零点漂移;ΔSi———仪器的量程漂移;R———仪器的量程,%LEL·m。
三、测量结果
按照本文的校准方法,对一台英国SearchPointExcel和Senscient1000型开放对射式可燃气体检测报警器进行了测试,结果如表1所示。

表1校准结果
四、讨论
1.本文所述校准方法选用的标准装置可燃气体标准管,是将3种不同浓度的氮中甲烷气体标准物质分别充入两端用高透过率的石英玻璃封口的标准气室中,各标准管的浓度×100%(0.236为盛装甲烷标准气体气室的有效长度,单位:m),计量性能稳定,使用方便,能有效满足开放对射式可燃气体检测报警器的校准要求,确定测量示值的准确性。
2.由于开放对射式可燃气体报警器采用了谐波指纹激光感应技术,因此能在恶劣工作条件下只对甲烷气体响应,能消除其他气体的干扰。
3.该校准方法涵盖了开放对射式可燃气体检测报警器的主要计量性能要求,方法科学合理,使用简单,为开放对射式可燃气体报警器的校准工作提供了技术依据,保证了设备计量数据的准确可靠。
免责声明:以上内容转载自要闻北极星环保网,所发内容不代表本平台立场。
全国能源信息平台联系电话:,邮箱:hz@,地址:北京市朝阳区金台西路2社




















