照相机镜头常常呈现出一种特殊的光泽。这是人们为了降低光的反射,镀上一层特定厚度的氟化镁薄膜。一般称为减反射膜,也称增透膜——为了减少或消除透镜、棱镜、平面镜等光学表面的反射光,从而增加这些元件的透光量,减少或消除系统的杂散光。事实上,采用这样的单层增透膜,光反射率可以降低到1.2%左右
生活中凡是需要用到光学平面的器件,几乎都使用了这样的光学薄膜。不信的话可以拿起你的手机,看一看镜头是否有呈现这样一种特殊的光泽?

不仅仅是照相机镜头,增透膜是一种应用极其广泛的光学镀层,广泛应用于工业探测、天文、电子学等领域。可以说,凡是涉及光的吸收和发射,都需要考虑镀减反射膜以提高光线的穿透效率。这一层反射膜的存在可以使反射光发生相消干涉,大大降低了光能损失。
镜头上的增透膜不可能在所有光波段全部发生相消,只能使个别波长的反射光强降到最低,而对其余波长的减反能力要弱一些。假如是太阳光照射到镜头上,镜头反射出来的光就会在不同波长上有不同的强度,所以就能看到光泽中夹杂着很多颜色。比如照相机镜头的增透膜,一般选择对人眼最敏感的黄绿色光进行相消干涉,使其反射光强减弱,所以照相机镜头呈现出与黄绿色光互补的蓝紫色。
那应该如何设计增透膜呢?设计光学薄膜主要是确定两点:一点是选择薄膜的厚度,另一点是选择折射率匹配的材料。这时光靠初中所学的折射公式就不够了。菲涅耳公式(或菲涅耳方程),由奥古斯丁·让·菲涅耳导出。用来描述光在不同折射率的介质之间的行为。由公式推导出的光的反射称之为“菲涅尔反射”。菲涅尔公式是光学中的重要公式,用它能解释反射光的强度、折射光的强度、相位与入射光的强度的关系。
对于满足各向同性的介质材料,介质的折射率是波长的函数。以Si为例:

这张图中有两条曲线,蓝线是消光系数,红线是折射率。这是因为材料的光学性质单独用一个折射率n来表示是不够的。介质可以吸收一部分入射的光线,用消光系数k来表征介质对某一波长的光的吸收强度的大小。这个参数定义了光穿过物体时,每经过单位长度时能量被吸收的比例。
引入复数有明确的物理意义。也可以使计算简化,用一个参数就可以完全描述介质的全部光学性能,这就是复折射率:

其中k是介质的吸收系数。

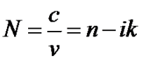
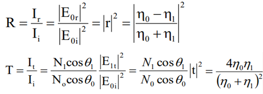
电磁波是电场与磁场同相振荡且互相垂直的电场和磁场在空间中以波动的形式传播的电磁场,因此要计算反射光与入射光的强度,需要从计算入射电场与反射电场强度的比值入手。上图表示了两层介质内光线的折射和反射过程,N表示上层的折射率,N表示下层的折射率。菲涅尔方程指出:
振幅反射系数(菲涅尔反射系数)r=E/E
振幅透射系数(菲涅尔透射系数)t=E/E
下标t表示透射分量,下标r表示反射分量,下标i表示入射光。定义反射率R是反射光强度的垂直分量与入射光强度的垂直分量之比;透射率T是透射光强度的垂直分量与入射光强度的垂直分量之比。

这里η为有效光学导纳,定义为磁场强度的切向分量与电场强度的切向分量之比,对于s偏振和p偏振值不同:

求解方法基于主要基于电场E、磁场H和波数之间的右旋法则和电磁场的边界条件。
但是如下图所示,当考虑单层薄膜时,是光线在三层介质中光线的折射和反射过程,有两个界面存在:

这里E、H均用E、H表示。在薄膜上下界面上有无数的反射,归并所有与初入射的波同方向的取+号,反方向的取-号(例如:在介质n中所有向下的波之和记为

,在介质n中所有向上的波之和记为

)。此外在1~2边界内的电场均记为E,向下均记为

,靠近边界1的记为

,靠近边界2的记为

。
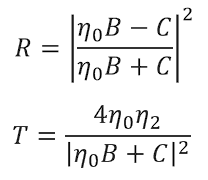
具体的推导过程可以参考后面附的参考文献[1],主要物理思想是利用边界处电场和磁场不能突变的条件将不同层内的E和H联系起来;另外在介质中行进的波,只要改变波的相位因子,就可以确定它们在同一瞬时电磁场的复振幅强度。正向行进的波位相因子应乘以exp(-iδ),负向行进的波的位相因子应乘以exp(iδ)。这里,δ=2πNdcosθ/λ,又称之为薄膜的位相厚度,包含了薄膜的所有参数。最终,反射率的计算是解薄膜和衬底组合的特征矩阵:

求出参数B和C的大小后,可以计算反射率和透射率分别为:

对于消光系数k不为0的介质,有关折射率的计算中用复数值N带入计算即可,这使得有效导纳和折射角都是复数。而更多层的计算,只需要多乘几个特征矩阵即可,其他过程完全相同。下图对比了Si和Ge的多层结构计算结果和理论结果的差异,还考虑到了2nm厚度GeO的影响,与实际情况符合得很好。

如果要在特定波长获得合适的减反效果,就需要计算特定波长处折射率随薄膜厚度的变化。这里作为示范计算了1550nm处反射率随Ge层厚度变化的曲线。通过计算可以得知反射率无论如何也不会被降至0,但是有一系列最小值和最大值。Ge可以吸收1550nm的红外光,所以不可能被用来制作减反射层,其他常用的减反射层有石英,氟化镁等材料。
参考文献:[1]唐晋发顾培夫刘旭李海峰.现代光学薄膜技术[M].浙江大学出版社,2006.
转载内容仅代表作者观点
不代表中科院物理所立场
如需转载请联系原公众号
编辑:Tammy





















